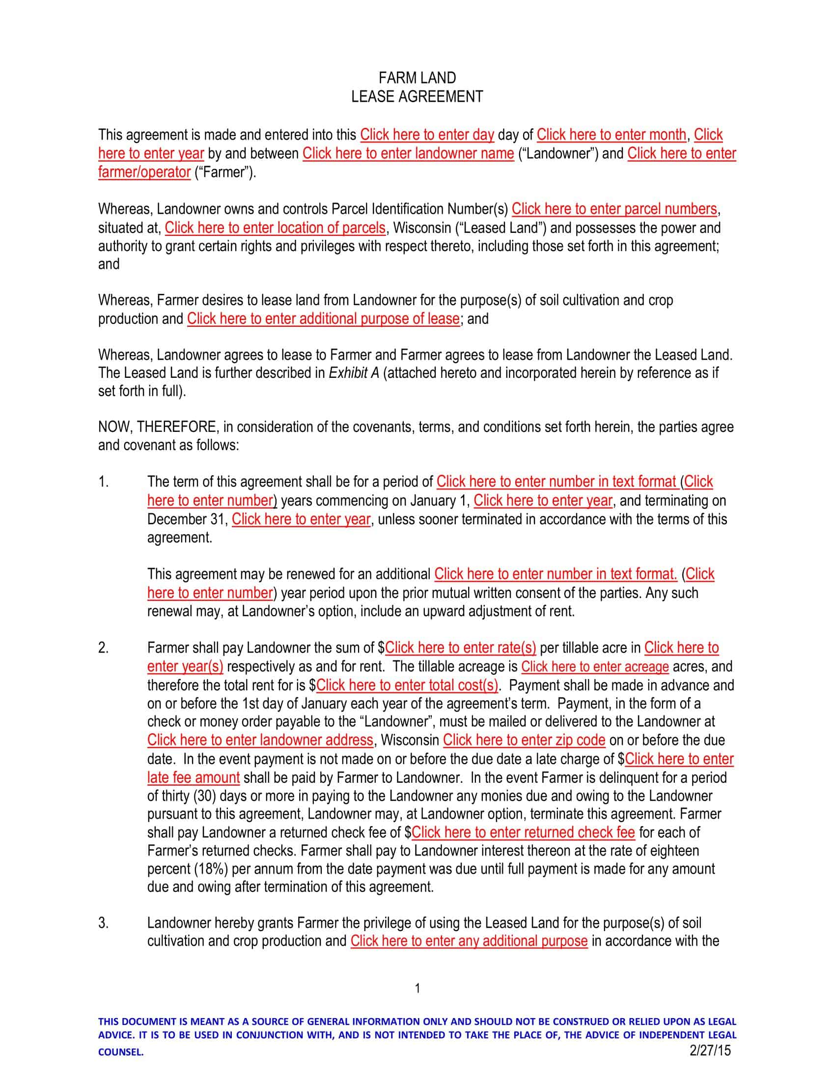
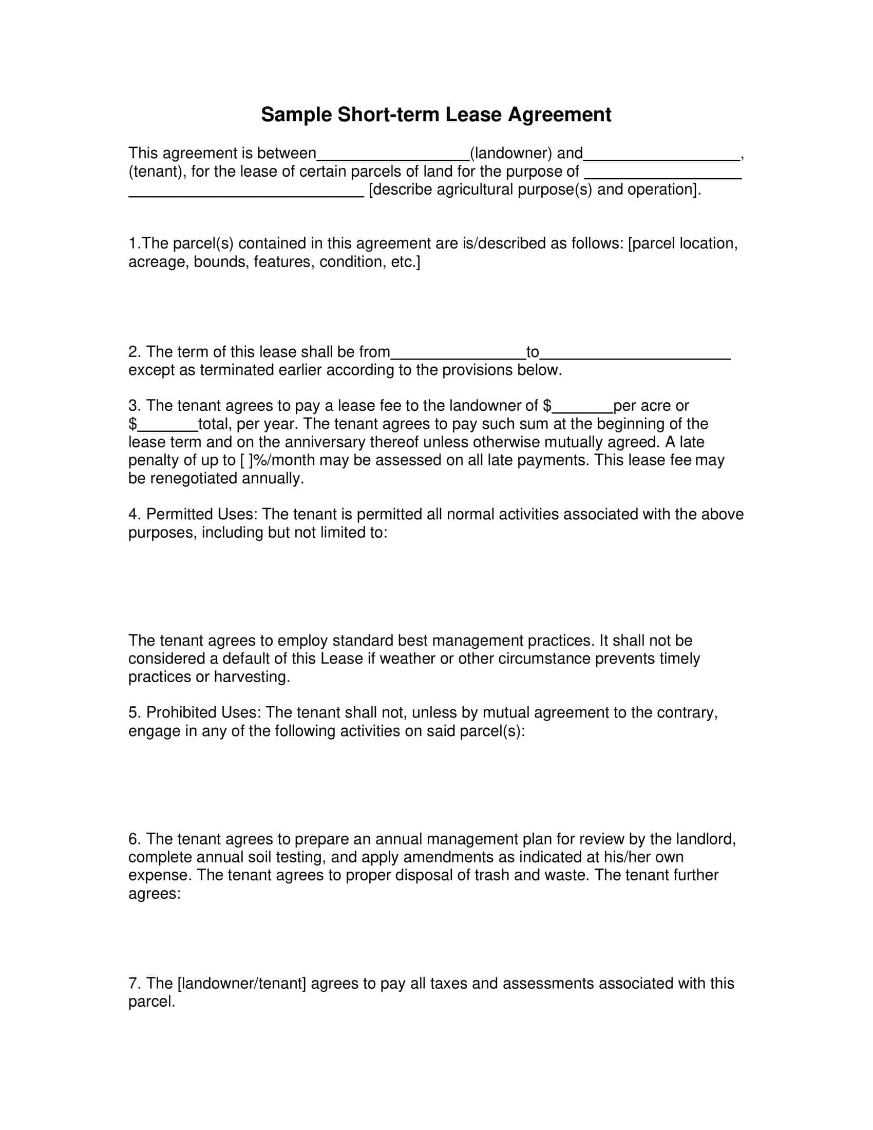
A land lease agreement is a legal contract between a property owner and a tenant that outlines the terms and conditions for the use of a piece of land. This type of agreement allows the tenant to use the property for a specified period of time, in exchange for regular payments to the property owner.
The terms of the agreement may include details such as the length of the lease, the purpose for which the land will be used, and any restrictions or conditions for its use. A well-drafted land lease agreement is a critical component for both the property owner and the tenant, as it provides a clear understanding of their respective rights and obligations.
Table of Contents
When Do I Need a Land Lease?
![Free Printable Land Lease Agreement Templates [Word & PDF] Sample 1 Land Lease Agreement](https://www.typecalendar.com/wp-content/uploads/2023/03/Land-Lease-Agreement-1024x576.jpg 1024w, https://www.typecalendar.com/wp-content/uploads/2023/03/Land-Lease-Agreement-300x169.jpg 300w, https://www.typecalendar.com/wp-content/uploads/2023/03/Land-Lease-Agreement-768x432.jpg 768w, https://www.typecalendar.com/wp-content/uploads/2023/03/Land-Lease-Agreement-1536x864.jpg 1536w, https://www.typecalendar.com/wp-content/uploads/2023/03/Land-Lease-Agreement-1200x675.jpg 1200w, https://www.typecalendar.com/wp-content/uploads/2023/03/Land-Lease-Agreement.jpg 1920w)
A land lease is typically necessary when you want to use someone else’s land for a certain purpose, such as farming, building a structure, or operating a business. The lease outlines the terms and conditions under which you may use the land and typically includes details such as the duration of the lease, the rent or other payment to be made, and any restrictions on use of the land. A land lease is a legally binding agreement, so it’s important to understand all the terms and conditions before signing.
Land Lease Agreement Templates
Streamline the process of leasing land with our comprehensive collection of Land Lease Agreement Templates. Whether you’re a landowner or a tenant, our templates provide a convenient and professional solution for creating legally binding agreements for leasing land. Also known as a Ground Lease Agreement, these templates cover all essential aspects, including lease terms, rent, payment schedules, permitted uses, maintenance responsibilities, and dispute resolution.
Customize the templates to suit your specific needs by adding property details, lease duration, and any additional clauses or provisions. Our printable and editable templates ensure clarity and protect the interests of both parties involved. Facilitate a smooth and transparent land lease transaction by using our user-friendly templates that save time and effort. With our Land Lease Agreement Templates, you can confidently establish a mutually beneficial arrangement that outlines rights, obligations, and expectations for both the landlord and the tenant.
What to Include in a Land Lease Agreement
A land lease agreement should include the following key elements:
Identification of the parties involved: The names and addresses of the landlord and the tenant.
Description of the property: A clear and accurate description of the land being leased, including any structures or improvements on the land.
Term of the lease: The start and end date of the lease, and any options for renewal.
Rent and payment terms: The amount of rent to be paid, when it is due, and any late fees or penalties.
Use of the property: A description of the permitted uses of the land, such as agriculture, residential, or commercial.
Maintenance and repair responsibilities: Who is responsible for maintaining and repairing the land and any structures on it.
Termination clause: The circumstances under which the lease can be terminated by either party.
Assignment and subleasing: Whether the tenant has the right to assign or sublease the land to others.
Insurance requirements: Any insurance requirements for the tenant or the landlord.
Dispute resolution: A process for resolving disputes between the landlord and tenant.
Governing law: The law that will govern the interpretation and enforcement of the lease agreement.
Other things that you might need to include in your document
There are several other items that you might want to include in your land lease agreement:
Security deposit: A security deposit may be required to protect the landlord against damage to the property or unpaid rent. The terms and conditions for the return of the security deposit should be clearly stated in the lease agreement.
Restrictions on use: You may want to include restrictions on the use of the land, such as a prohibition on altering the property or engaging in activities that could be harmful to the environment.
Access rights: The lease agreement should clearly state the rights of the landlord and the tenant to access the property, including the right of the landlord to enter the property for inspections or repairs.
Utilities and services: The lease agreement should specify who is responsible for paying for utilities and services, such as water, electricity, and garbage collection.
Improvements and alterations: The lease agreement should specify who is responsible for any improvements or alterations made to the property and what happens to those improvements at the end of the lease.
Right of first refusal: The lease agreement may include a right of first refusal, which gives the tenant the first opportunity to purchase the property if the landlord decides to sell.
Renewal terms: If the lease includes options for renewal, the terms and conditions for renewal should be clearly stated in the agreement.
Termination notice: The lease agreement should specify the notice required to terminate the lease, and whether the notice must be in writing.
Indemnification and hold harmless provisions: The lease agreement may include provisions to protect one party from liability for damages or injuries sustained by the other party.
Assignment and subleasing: The lease agreement should specify the conditions under which the tenant may assign or sublease the property to others.
The Pros and Cons of a Land Lease Agreement
Pros of Leased Land:
- Flexibility: Leasing land provides more flexibility than purchasing land, as the tenant can choose to end the lease when it expires, rather than being committed to a long-term ownership.
- Lower upfront cost: Leasing land typically requires a lower upfront cost compared to purchasing land, as the tenant is not responsible for paying the full purchase price.
- No property taxes: The tenant is not responsible for paying property taxes on leased land.
- No maintenance costs: The tenant is not responsible for the maintenance and repair of the property, as those responsibilities typically fall to the landlord.
- Potential for lease renewal: If the tenant and landlord are satisfied with the arrangement, the lease can be renewed for an additional term.
Cons of Leased Land:
- Limited control: The tenant has limited control over the property, as the landlord retains ownership and control.
- No ownership rights: The tenant does not have ownership rights to the property, as they are only leasing the land.
- Rent increases: The landlord has the right to increase rent over time, which can be a financial burden for the tenant.
- Limited improvements: The tenant may be limited in their ability to make improvements to the property, as they do not have full ownership rights.
- Uncertainty: Leased land provides less certainty, as the tenant may have to vacate the property when the lease expires if it is not renewed.
Overall, leasing land can be a good option for those who want the benefits of using a piece of land without the commitment and expenses of ownership. However, it’s important to carefully consider the pros and cons and to seek the assistance of a qualified attorney or legal professional to ensure that the lease agreement meets all legal requirements and accurately reflects the intentions of both parties.
What is the duration of the lease in the absence of the land lease agreement?
The duration of a lease in the absence of a written agreement can vary depending on the laws of the jurisdiction in which the property is located. In some states, a lease is considered to be a periodic tenancy (such as a month-to-month tenancy) if there is no written agreement specifying the term of the lease. In other states, the lease may be considered to be a tenancy at will, which means that either party can terminate the lease at any time with proper notice.
How to write a land lease agreement
Here are some general steps you can follow when writing a land lease agreement:
Determine the purpose and use of the land
It is important to clearly define the purpose and use of the land being leased, as this will determine the type of lease agreement that is needed.
Identify the parties involved
Clearly identify the names and addresses of the landlord and the tenant.
Describe the property
Provide a clear and accurate description of the land being leased, including any structures or improvements on the land.
Determine the lease term
Decide on the start and end date of the lease, and whether there are any options for renewal.
Establish rent and payment terms
Specify the amount of rent to be paid, when it is due, and any late fees or penalties.
Define the permitted uses of the property
Clearly specify the permitted uses of the land, such as agriculture, residential, or commercial.
Establish maintenance and repair responsibilities
Determine who will be responsible for maintaining and repairing the land and any structures on it.
Include a termination clause
Specify the circumstances under which the lease can be terminated by either party.
Define the rights of assignment and subleasing
Determine whether the tenant has the right to assign or sublease the land to others.
Establish insurance requirements
Specify any insurance requirements for the tenant or the landlord.
Include a dispute resolution process
Include a process for resolving disputes between the landlord and tenant.
Determine the governing law
Specify the law that will govern the interpretation and enforcement of the lease agreement.
Have both parties sign the agreement
Once the lease agreement has been fully negotiated and both parties are in agreement, have both the landlord and the tenant sign the agreement.
Make sure to keep a copy of the agreement
It is important for both the landlord and the tenant to keep a copy of the signed lease agreement for their records.
Again, it’s important to seek the assistance of a qualified attorney or legal professional when writing a land lease agreement to ensure that the agreement meets all legal requirements and accurately reflects the intentions of both parties.
FAQs
Who is responsible for maintenance and repair of the property in a land lease agreement?
The responsibility for maintenance and repair of the property is typically specified in the land lease agreement. The landlord may be responsible for certain repairs, while the tenant may be responsible for others.
What happens when a land lease agreement expires?
When a land lease agreement expires, the tenant must vacate the property and return it to the landlord. If the lease agreement includes an option for renewal, the tenant may choose to renew the lease for an additional term.
Can a land lease agreement be terminated early?
Yes, a land lease agreement can be terminated early if both the landlord and tenant agree to it, or if the agreement specifies a process for early termination.
What happens to improvements made to the property during a land lease agreement?
The terms and conditions for improvements made to the property during a land lease agreement are typically specified in the agreement. The tenant may be required to remove the improvements at the end of the lease, or the landlord may agree to allow the tenant to keep the improvements.
Can a land lease agreement be transferred to another party?
Yes, a land lease agreement can be transferred to another party, but the transfer must be approved by the landlord and comply with any restrictions specified in the agreement.
Can a land lease agreement be altered or amended?
Yes, a land lease agreement can be altered or amended if both the landlord and tenant agree to the changes and sign a written amendment to the agreement.
Who is responsible for paying property taxes in a land lease agreement?
The responsibility for paying property taxes in a land lease agreement is typically specified in the agreement. The landlord may be responsible for paying the taxes or the tenant may be responsible for paying a portion of the taxes.
Can a land lease agreement include provisions for subleasing the property?
Yes, a land lease agreement can include provisions for subleasing the property, but the sublease must be approved by the landlord and comply with any restrictions specified in the agreement.
What happens if either the landlord or tenant breaches the terms of the land lease agreement?
If either the landlord or tenant breaches the terms of the land lease agreement, the other party may have the right to terminate the agreement or seek damages in court.
Is a land lease agreement legally binding?
Yes, a land lease agreement is a legally binding contract between the landlord and tenant, and both parties are bound by its terms and conditions.






































![Free Printable Roommate Agreement Templates [Word, PDF] 2 Roommate Agreement](https://www.typecalendar.com/wp-content/uploads/2023/06/Roommate-Agreement-150x150.jpg)
![Free Printable Credit Card Authorization Form Templates [PDF, Word, Excel] 3 Credit Card Authorization Form](https://www.typecalendar.com/wp-content/uploads/2023/06/Credit-Card-Authorization-Form-150x150.jpg)
![Free Printable Lease Addendum Templates [PDF, Word] 4 Lease Addendum](https://www.typecalendar.com/wp-content/uploads/2023/04/Lease-Addendum-150x150.jpg)
