Can projects with unclear scope be completed with a clear budget? Yes! If you choose the right contract structure. Cost plus contracts allow you to transparently document direct costs (labor, materials, equipment, subcontractor, permits/fees) and advance the work by adding a pre-agreed fee or incentive. This keeps progress and cost control on the same page especially on hard-to-scope projects without disrupting execution. TypeCalendar offers 50+ Cost-Plus Contract templates for different business models and party roles each an individual download and structured around real field needs.
Table of Contents
Cost Plus Types: Which Model Fits Which Scenario?

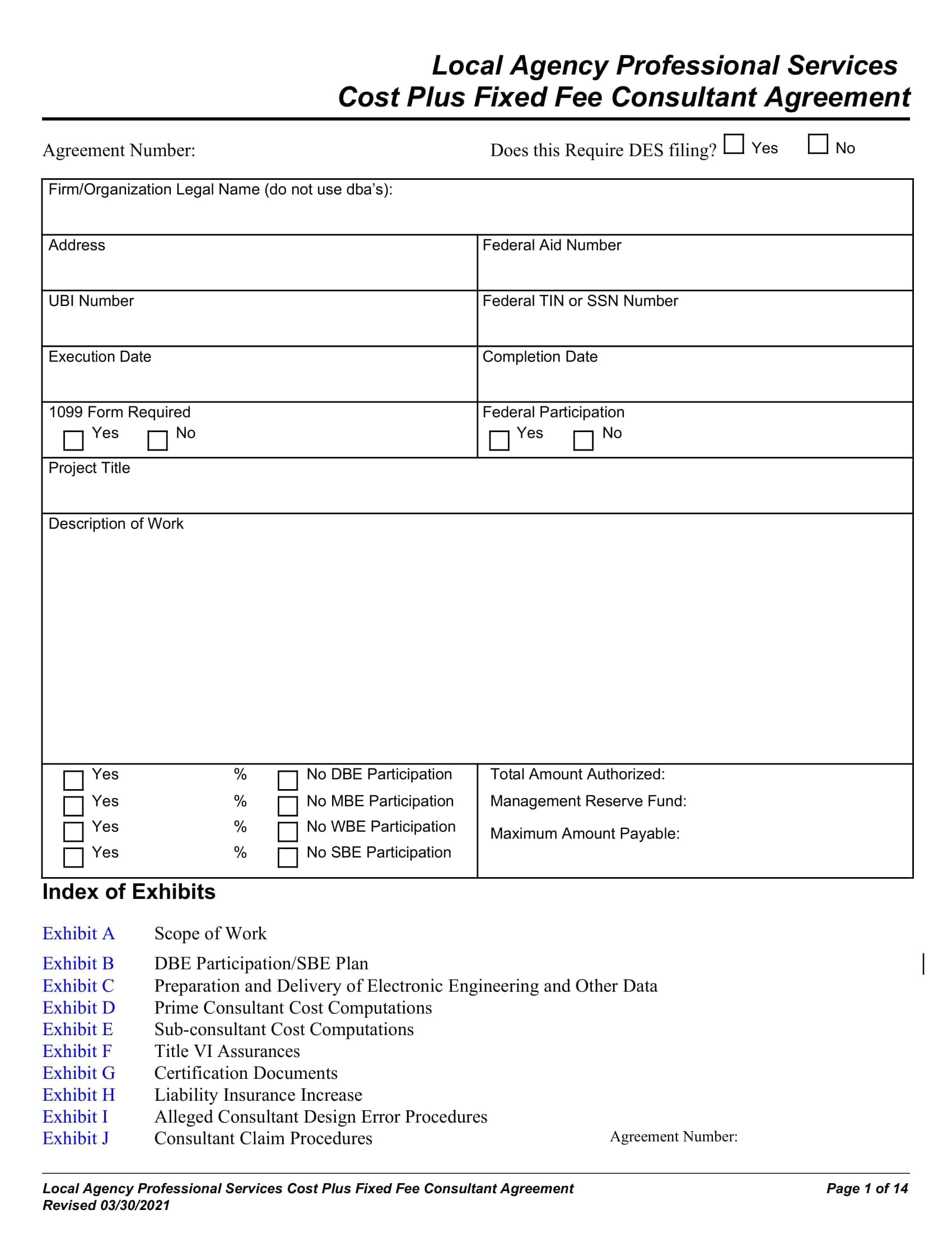
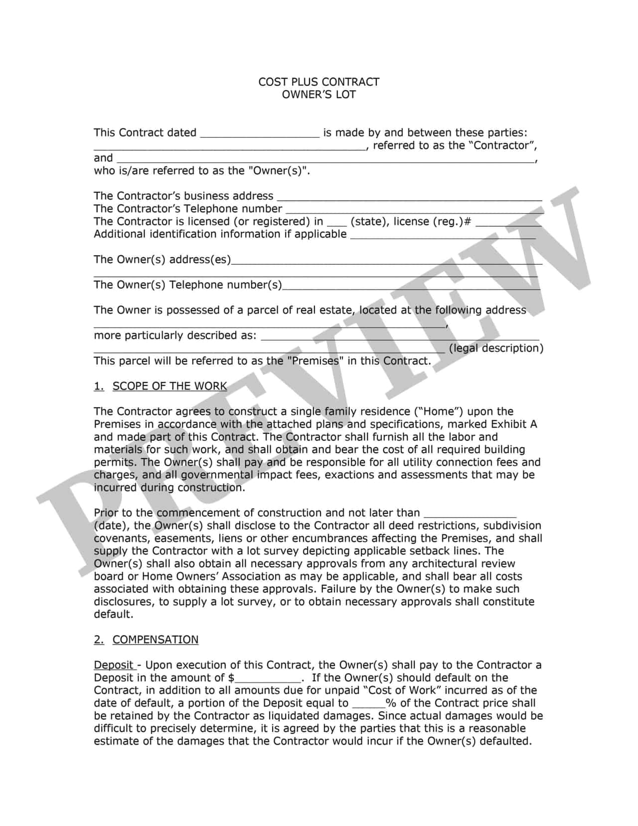
“Cost plus construction contract” and “cost plus building contract” are the frameworks we most frequently encounter in residential/mixed construction, renovation, fit-out and maintenance-repair works; they work together with monthly progress payments, schedule of values, change order flow and lien waiver additions. In more predictable comprehensive works, a cost plus fixed fee contract is preferred: all direct costs are documented, but the contractor fee is fixed; the parties know the management cost from the beginning.
When you want to link risk sharing to behavior, the cost plus incentive fee contract comes into play; the target budget and milestones are defined, and the fee increases or decreases according to the budget/deadline performance. The templates in the collection include separate flows, attachments and sample terms for these three approaches.
TypeCalendar’s 50+ Cost Plus Templates ( By Role & Scale )
Every party/role is different, so the set includes owner-oriented and contractor-oriented styles. Short form contracts have been prepared for small to medium-sized renovations, while larger sets with scope, exclusions, quality standards and HSE (occupational health and safety) annexes have been prepared for multi-stakeholder projects. Even if you only need a single change order form, you download the templates one by one; no unnecessary package downloads. Each file includes a workflow diagram, signature blocks, a payment schedule, and dispute-resolution (governing law/venue) placeholders.
Where Is It Used?
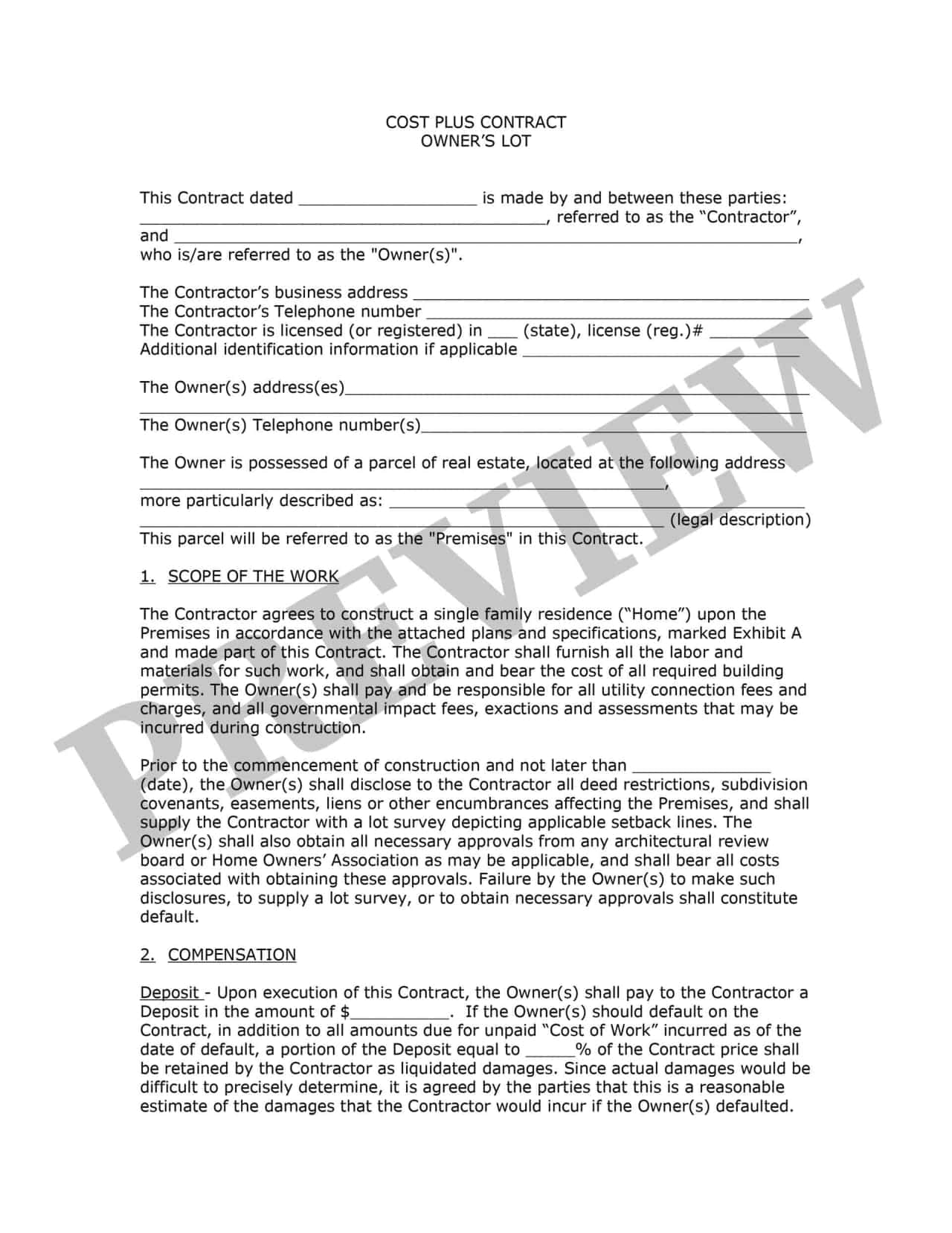
Cost-plus is frequently used not only in residential renovations but also in design-build projects, mechanical-electrical-plumbing (MEP) renovations, infrastructure rehabilitation, laboratory/clean room installations, film & media productions, R&D and prototyping work, and even field maintenance contracts. Common point: At the beginning of the work, the scope is limited, the quality and time target are critical, uninterrupted progress is required. In such cases, cost-plus provides a framework of trust in which changes are managed by procedure and costs are paid by evidence.
Transparency Mechanics: Documents, Caps, Control
A good cost-plus contract is not “pay-to-play”; it is document driven. TypeCalendar templates include reimbursable vs. non-reimbursable definitions, O&P percentages or a fixed-fee section, NTE/GMP options, audit rights, escalation/material-index clauses, and a clear change-order process. Thus, work progresses while budget surprises stay under control. Standard exhibits timesheets, purchase orders, delivery tickets, and subcontractor invoices are included.
Download, Customize, Launch
Uncertain scope is costly under a bad contract; a well-crafted cost-plus makes uncertainty manageable. Choose the layout that suits your business from TypeCalendar’s 50+ Cost Plus Contract templates, customize the scope and attachments, insert GMP/fee/allowance values, and send it for signature. These files, which can be downloaded individually, are ready for you to establish the transparent cost + measurable performance equation in every scenario from construction to ARG, from production to maintenance and repair. Download today and entrust your project to clear rules and a strong contractual framework, not to risk.






































![Free Printable Land Contract Templates [Word, PDF] Simple 1 Land Contract](https://www.typecalendar.com/wp-content/uploads/2023/05/Land-Contract-1-150x150.jpg)
![Free Printable Catering Contract Templates [Word, PDF] Simple 2 Catering Contract](https://www.typecalendar.com/wp-content/uploads/2023/05/Catering-Contract-1-150x150.jpg)

