Franchising is a popular business model that allows entrepreneurs to start a new business using an established brand and business system. Franchise agreements are the legal contracts that govern the relationship between the franchisor (the owner of the brand and business system) and the franchisee (the individual or company that operates the franchise business).
These agreements outline the terms and conditions for the franchise to use the franchisor’s intellectual property, business methods, and support services in exchange for payment of fees and compliance with various requirements. Understanding the key components of a franchise agreement is critical for anyone considering buying a franchise or becoming a franchisor. In this article, we’ll explore the basics of franchise agreements, including what they include, how they work, and what to consider before signing one.
Table of Contents
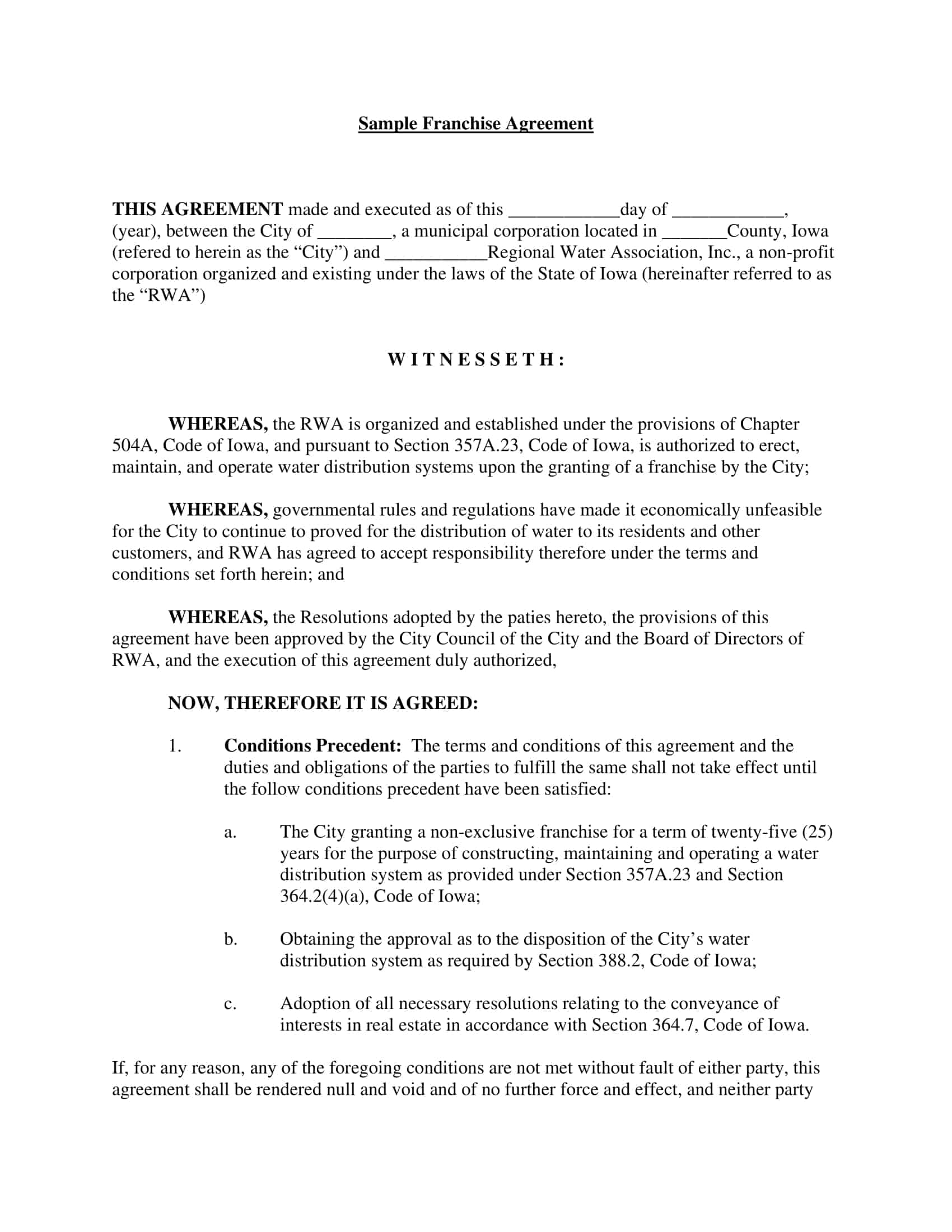
Franchise Agreement Templates
Franchise agreement templates are comprehensive legal documents that establish the relationship between a franchisor and a franchisee. These templates provide a standardized framework for outlining the rights, responsibilities, and obligations of both parties involved in a franchising arrangement. Franchise agreements cover important aspects such as brand usage, territory rights, fees and royalties, training and support, quality standards, and dispute resolution procedures.
By using franchise agreement templates, both franchisors and franchisees can ensure clarity and consistency in their business relationship. These templates help protect the interests of both parties and provide a solid foundation for operating a successful franchise. Whether you are a franchisor looking to expand your brand or a prospective franchisee considering a business opportunity, franchise agreement templates serve as crucial legal documents that outline the terms and conditions of the franchising arrangement.
How a Franchise Agreement Works

A franchise agreement is a legal contract that establishes the terms and conditions for a franchisee to use the franchisor’s business system, brand, and support services in exchange for payment of fees and compliance with various requirements. The agreement outlines the obligations and responsibilities of both the franchisor and franchisee and is typically a binding and enforceable document. The franchisee is granted the right to operate a business using the franchisor’s trademark, products or services, and operating systems, while the franchisor provides ongoing training, marketing, and support services to help the franchisee succeed.
The franchise agreement typically includes details on the franchise fee, ongoing royalties, territory restrictions, marketing obligations, and other terms related to the operation of the franchise. The franchisor may also provide the franchisee with access to specialized software, equipment, or other tools necessary for the operation of the franchise business. In exchange for these services, the franchisee must comply with the franchisor’s quality control standards, follow specific operating procedures, and use approved vendors or suppliers.
The franchise agreement typically lasts for a specific period of time, which can range from a few years to several decades. During this time, the franchisee is bound to operate the business in accordance with the terms of the agreement, while the franchisor is obligated to provide ongoing support and training.
If the franchisee violates any of the terms of the franchise agreement, the franchisor may have the right to terminate the agreement, which can result in the franchisee losing the right to use the franchisor’s trademark and operating systems. Similarly, if the franchisor fails to provide the support and services outlined in the agreement, the franchisee may have the right to terminate the agreement and seek damages.
Key Elements of a Franchise Agreement
Franchise agreements are complex legal documents that outline the terms and conditions for the relationship between the franchisor and franchisee. While the specifics of each agreement may vary, there are several key elements that are typically included in most franchise agreements. Here are some of the most important elements to look for:
Franchise Fees: This section outlines the fees that the franchisee is required to pay to the franchisor, which may include an initial franchise fee, ongoing royalties, and other fees such as marketing or training fees.
Territory: This section outlines the specific geographic area in which the franchisee is allowed to operate the franchise, which may be exclusive or non-exclusive.
Intellectual Property: This section defines the franchisor’s intellectual property, including trademarks, trade secrets, and other proprietary information, and outlines the franchisee’s rights and obligations with respect to the use of this property.
Operations: This section outlines the specific procedures and standards that the franchisee is required to follow in order to operate the franchise in accordance with the franchisor’s system.
Training and Support: This section outlines the type and frequency of training and support that the franchisor will provide to the franchisee, including initial training and ongoing support.
Marketing: This section outlines the franchisee’s obligations with respect to marketing and advertising the franchise, including any required spending on marketing and branding initiatives.
Term and Termination: This section outlines the duration of the franchise agreement, as well as the circumstances under which either party can terminate the agreement.
Renewal and Transfer: This section outlines the procedures for renewing the franchise agreement and transferring ownership of the franchise.
Dispute Resolution: This section outlines the procedures for resolving disputes between the franchisor and franchisee, including any required mediation or arbitration.
Supplier Requirements: This section outlines any requirements or restrictions on the suppliers that the franchisee may use, including specific vendors or suppliers that the franchisor may require the franchisee to use.
Product and Service Offerings: This section outlines the products and services that the franchisee is authorized to sell, as well as any restrictions on these offerings.
Non-Compete Clauses: This section outlines any restrictions on the franchisee’s ability to operate a competing business, either during or after the term of the franchise agreement.
Renewal and Termination Procedures: This section outlines the procedures and requirements for renewing the franchise agreement, as well as the circumstances under which the franchisor may terminate the agreement.
Performance Standards: This section outlines specific performance standards that the franchisee must meet in order to maintain the franchise, such as sales goals or customer satisfaction metrics.
Confidentiality and Non-Disclosure: This section outlines the franchisee’s obligations with respect to confidentiality and non-disclosure of the franchisor’s proprietary information.
Insurance and Indemnification: This section outlines the insurance requirements for the franchisee and the franchisor, as well as any indemnification provisions in the event of litigation or other disputes.
Changes to the Franchise System: This section outlines the franchisor’s ability to make changes to the franchise system, including changes to the operating procedures or requirements.
Parties Involved in Franchise Agreement
A franchise agreement typically involves several parties, including:
Franchisor
The company or individual that owns the rights to a business concept, trademark, or brand, and allows others to operate their own businesses using that concept or brand.
Franchisee
The individual or company that purchases the right to use the franchisor’s business concept, trademark, and brand in order to operate a business.
Area Developer
A franchisee who has been granted the right to open and operate multiple locations within a specified geographic area.
Master Franchisee
A franchisee who has been granted the right to sell franchises within a specified geographic area, as well as the right to open and operate one or more locations themselves.
Subfranchisor
A franchisee who has been granted the right to sell franchises on behalf of the franchisor, and may also provide support and training to sub-franchisees.
Sub-franchisee
An individual or company that purchases a franchise from a subfranchisor, rather than directly from the franchisor.
Guarantor
An individual or company that agrees to be responsible for the franchisee’s obligations under the franchise agreement, in case the franchisee defaults on their obligations.
Types of Franchise Agreements
Franchise agreements come in several different types, each with its own terms and conditions. Here are some of the most common types of franchise agreements:
Single-unit franchise agreement
This type of franchise agreement grants the franchisee the right to operate a single franchise location.
Multi-unit franchise agreement
This type of agreement allows the franchisee to operate multiple franchise locations within a specific geographic area.
Area development franchise agreement
This type of agreement grants the franchisee the right to develop and operate multiple franchise locations within a larger geographic area.
Master franchise agreement
This type of agreement grants the franchisee the right to develop and operate franchises within a specific region or country, and to grant sub-franchises to other franchisees within that region or country.
Conversion franchise agreement
This type of agreement is designed for existing businesses that want to convert to a franchise system.
Joint venture franchise agreement
This type of agreement involves a partnership between the franchisor and the franchisee in which both parties share ownership and control of the franchise.
Sub-franchise agreement
This type of agreement allows a master franchisee to grant sub-franchises to other franchisees within their designated territory.
Each of these franchise agreements has its own unique features, advantages, and drawbacks, and the specific type of agreement that is best for a particular business will depend on a variety of factors, including the industry, the size and goals of the business, and the available resources.
Licensing vs. Franchising: What’s the Differences ?
Licensing and franchising are two different business models that companies use to expand their business. While there are similarities between the two, there are also some key differences. Here’s a brief overview:
Ownership: In a licensing agreement, the licensee is essentially buying the right to use the licensor’s intellectual property (such as trademarks, patents, or copyrights) for a specified purpose, without taking ownership of the business itself. In a franchise agreement, the franchisee typically has more ownership over the business and operates under the franchisor’s brand.
Business Model: A licensing agreement is often used for a company that has a product or service that can be easily replicated and sold by another company, whereas a franchise agreement is used when a company has a successful business model that can be duplicated and operated by others.
Control: A licensor typically has less control over how the licensee operates than a franchisor has over its franchisees. In a licensing agreement, the licensee is often given more freedom to use the licensed intellectual property as they see fit, whereas in a franchise agreement, the franchisor typically has more control over how the franchisee operates and what products or services they offer.
Fees: In a licensing agreement, the licensee typically pays a royalty fee to the licensor based on their use of the intellectual property. In a franchise agreement, the franchisee typically pays both an upfront franchise fee and ongoing royalty fees to the franchisor, in exchange for ongoing support and access to the franchisor’s brand.
Support: While both licensing and franchising agreements can include some level of support from the licensor/franchisor, a franchise agreement typically involves more ongoing support and training than a licensing agreement.
Overall, the main difference between licensing and franchising is the level of ownership and control that the licensor/franchisor has over the licensee/franchisee. A licensing agreement is typically used for companies that want to sell their intellectual property, while a franchise agreement is used for companies that want to expand their business model and brand.
How to create a franchise agreement
Creating a franchise agreement can be a complex and time-consuming process, as it requires careful consideration of a wide range of legal, financial, and operational issues. However, with the right approach, it is possible to create a comprehensive and effective franchise agreement that protects the interests of both the franchisor and the franchisee. In this guide, we will provide a step-by-step overview of the key considerations and steps involved in creating a franchise agreement.
Step 1: Determine Your Franchise Model
The first step in creating a franchise agreement is to determine the type of franchise model you will be using. There are several types of franchise models, including product distribution franchises, business format franchises, and management franchises. Each of these models has its own unique characteristics and legal requirements, so it’s important to choose the one that best fits your business and your goals.
Step 2: Identify Your Intellectual Property
One of the most important elements of a franchise agreement is the intellectual property that will be licensed to the franchisee. This includes trademarks, trade secrets, patents, and copyrights. You should identify all of the intellectual property that will be licensed to the franchisee, and specify the scope of the license, the duration of the license, and the terms and conditions of use.
Step 3: Establish the Franchisee’s Rights and Obligations
Once you have identified the intellectual property that will be licensed to the franchisee, you will need to establish the franchisee’s rights and obligations under the franchise agreement. This includes the franchisee’s obligations to operate the business according to the franchisor’s standards, to pay royalties and other fees, to maintain quality control, and to comply with all applicable laws and regulations.
Step 4: Define the Franchise Territory
The franchise territory is the geographic area in which the franchisee will be authorized to operate the business. You should specify the exact boundaries of the franchise territory, and establish any exclusivity rights that the franchisee may have within that territory.
Step 5: Establish the Term and Renewal of the Franchise Agreement
The franchise term is the duration of the franchise agreement, which can vary depending on the nature of the business and the industry. You should establish the initial term of the franchise agreement, as well as any renewal options that may be available to the franchisee. It’s important to include clear terms and conditions for renewal, such as the requirement for the franchisee to meet certain performance metrics.
Step 6: Determine the Fees and Royalties
The franchise agreement should specify the fees and royalties that the franchisee will be required to pay to the franchisor. This may include an initial franchise fee, ongoing royalties based on sales, and other fees for marketing and advertising, training, and support services. You should also establish any terms and conditions for the payment of these fees, such as the timing and frequency of payments.
Step 7: Establish Training and Support Requirements
One of the benefits of franchising is that the franchisor provides training and support to the franchisee. You should establish the training and support requirements that the franchisee will be required to complete, as well as any ongoing support that will be provided. This may include on-site training, online training, and ongoing support for marketing, advertising, and operations.
Step 8: Include Quality Control Requirements
The franchisor has a vested interest in maintaining the quality of the brand and the business, so it’s important to include quality control requirements in the franchise agreement. This may include standards for products and services, operational procedures, and customer service. You should also establish a process for monitoring and enforcing these quality control requirements, including the consequences for non-compliance.
Step 9: Specify the Termination and Dispute Resolution Process
The franchise agreement should specify the circumstances under which the agreement can be terminated, and the process for termination. This may include termination for breach of the agreement, termination for insolvency, or termination for other reasons specified in the agreement. It’s important to include a clear and fair process for termination, including any notice requirements, the steps that must be taken to cure a breach, and the consequences of termination.
In addition, the franchise agreement should establish a process for resolving disputes that may arise between the franchisor and the franchisee. This may include mandatory mediation or arbitration, or other methods of alternative dispute resolution. It’s important to establish a fair and effective dispute resolution process that can help prevent costly and time-consuming litigation.
Step 10: Obtain Legal Advice and Review the Agreement
Creating a franchise agreement is a complex legal process that requires specialized expertise. It’s important to work with a qualified franchise attorney who can help you navigate the legal requirements and ensure that your agreement complies with all applicable laws and regulations. Your attorney can also review the agreement to ensure that it is fair and balanced, and that it protects the interests of both parties.
In summary, creating a franchise agreement is a complex process that requires careful consideration of a wide range of legal, financial, and operational issues. By following the steps outlined in this guide, you can create a comprehensive and effective franchise agreement that protects the interests of both the franchisor and the franchisee. With the right approach, franchising can be a powerful tool for growing your business and expanding your brand.
Terminating a Franchise Agreement: How to Get out of a Franchise Business
Getting out of a franchise agreement can be difficult, and the specific process will depend on the terms of the agreement and the circumstances of your situation. Here are some general steps that you can take if you want to terminate your franchise agreement:
Review the terms of your franchise agreement
Carefully review your franchise agreement to determine what options you have for terminating the agreement. Look for any provisions related to termination, including notice periods, fees, and penalties.
Consult with a lawyer
It’s highly recommended to consult with a lawyer who is experienced in franchise law before taking any steps to terminate the agreement. A lawyer can advise you on your legal rights and obligations under the agreement and help you navigate the termination process.
Consider negotiating with the franchisor
If you are having issues with the franchisor, it may be possible to negotiate a termination or buyout of the franchise agreement. This may involve paying a fee or other compensation to the franchisor.
Follow the termination process
If you decide to terminate the franchise agreement, follow the process outlined in the agreement. This may include providing written notice to the franchisor and complying with any other requirements, such as returning equipment or materials.
Be prepared for potential legal action
If you terminate the franchise agreement without following the proper process or if the franchisor believes that you have breached the agreement, they may take legal action against you. Be prepared to defend yourself and work with your lawyer to resolve any legal issues that arise.
FAQs
What are some common issues that arise in franchise agreements?
Common issues that arise in franchise agreements include disputes over royalties, territorial restrictions, marketing requirements, and operational guidelines. It’s important to address any concerns before signing the agreement and to have a plan in place for resolving any disputes that may arise.
How long does a franchise agreement typically last?
The length of a franchise agreement can vary, but it typically lasts for a period of 5 to 10 years. The agreement may be renewable at the end of the term, subject to certain conditions.
Can a franchise agreement be terminated?
Yes, a franchise agreement can be terminated under certain conditions, such as a breach of the agreement by either party or the expiration of the agreement term. The agreement should specify the conditions under which it can be terminated and the notice period required.
What is the franchise fee?
The franchise fee is the upfront cost that the franchisee pays to the franchisor for the right to use the franchisor’s brand name, business model, and other intellectual property. The fee may also cover training and support services provided by the franchisor.
Can a franchisee sell their franchise?
Yes, a franchisee can sell their franchise, subject to certain conditions outlined in the franchise agreement. The franchisor may have the right to approve the new owner and may charge a transfer fee.
What is the renewal process for a franchise agreement?
The renewal process for a franchise agreement varies depending on the terms of the agreement. Typically, the franchisee must give notice of their intention to renew a certain amount of time before the agreement expires, and the franchisor may have the right to approve the renewal. The terms of the renewed agreement may also be negotiated between the franchisor and franchisee.
Should I consult with a lawyer before signing a franchise agreement?
Yes, it’s highly recommended to consult with a lawyer who is experienced in franchise law before signing a franchise agreement. A lawyer can review the agreement and advise you on your legal rights and obligations under the agreement. This can help to ensure that the agreement is fair and reasonable and that you are fully aware of the risks and benefits of the franchise relationship.



















































![Free Printable Roommate Agreement Templates [Word, PDF] 1 Roommate Agreement](https://www.typecalendar.com/wp-content/uploads/2023/06/Roommate-Agreement-150x150.jpg)
![Free Printable Payment Agreement Templates [PDF, Word] 2 Payment Agreement](https://www.typecalendar.com/wp-content/uploads/2023/05/Payment-Agreement-1-150x150.jpg)
![Free Printable Separation Agreement Templates [PDF, Word] 3 Separation Agreement](https://www.typecalendar.com/wp-content/uploads/2023/05/Separation-Agreement-1-150x150.jpg)
