The majority of rental contracts between property owners and renters often include a provision for automatic renewal, which will be triggered unless either party communicates their intention not to extend the lease further. In these situations, it is customary for landlords to issue a non-renewal notification to their tenants, which functions as a formal, legal indication that they will not be extending the current lease.
As a tenant, you also have the option to choose not to renew your lease. In this instance, you can send a lease non-renewal letter to your landlord, informing them of your decision not to continue occupying their property.
Table of Contents
Not Renewing Lease Letter Templates
Say goodbye to lease renewals with ease using our Not Renewing Lease Letter Templates. These printable and customizable templates offer a convenient solution for notifying landlords or tenants about your decision. Whether you’re a landlord or tenant, our free templates empower you to communicate effectively, protect your interests, and ensure a smooth transition. Take the stress out of lease terminations and download our printable templates today.
What is a not renewing lease letter?

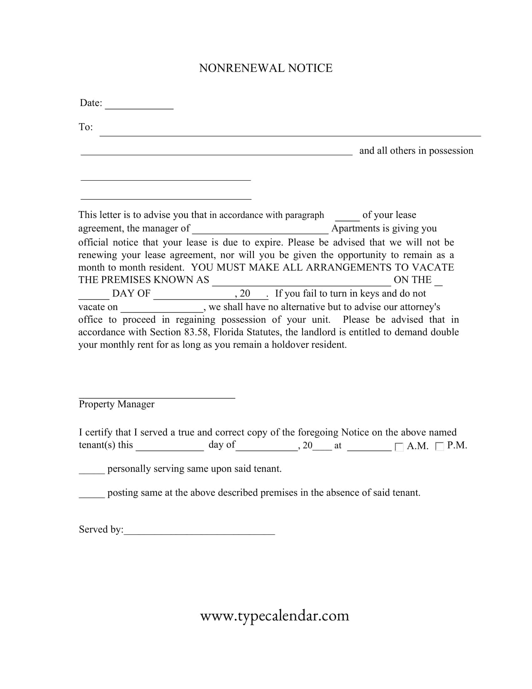
A not renewing lease letter, also known as a lease non-renewal letter or lease termination letter, is a written notice provided by either the landlord or the tenant to inform the other party that they do not intend to renew the lease agreement once it expires.
This letter serves as a formal communication of the sender’s intention to end the rental relationship and helps ensure that both parties are aware of the upcoming termination. The letter typically includes essential information such as the date of the lease expiration, the reason for not renewing (if applicable), and any other relevant details or expectations concerning the end of the lease term.
What to include in the Non-Renewal Letter ?
When writing a lease non-renewal letter, it is important to include the following key elements:
Your contact information: Include your name, current address, city, state, zip code, phone number, and email address.
Date: Clearly indicate the date you are sending the letter.
Landlord’s contact information: Include the landlord’s name, address, city, state, and zip code.
Salutation: Address the landlord by name, using a formal salutation, such as “Dear [Landlord’s Name].”
Purpose of the letter: Begin the letter by briefly stating the purpose, which is to inform the landlord of your decision not to renew the lease.
Property details: Clearly mention the property’s address and lease expiration date.
Notice period: Refer to the notice period as specified in your lease agreement and confirm that you are providing the notice within the required timeframe.
Reason for non-renewal (optional): You may choose to provide a reason for not renewing the lease, although this is not mandatory. Providing a reason can help maintain a positive relationship with the landlord.
Move-out responsibilities: Address any responsibilities or requirements related to vacating the property, such as cleaning, returning keys, or scheduling a final walkthrough.
New mailing address (optional): If you already have a new address, you can provide it to the landlord for the purpose of receiving your security deposit or any other correspondence.
Gratitude and contact information: Thank the landlord for the rental experience and offer your contact information for any further communication or questions.
Professional closing: Close the letter with a professional closing, such as “Sincerely” or “Kind regards,” followed by your name and signature (if sending a hard copy).
By including these key elements in your lease non-renewal letter, you ensure clear communication with your landlord and protect your interests during the lease termination process.
Why Should You Write a Lease Non-Renewal?
Writing a lease non-renewal letter is important for several reasons:
Clear communication: A lease non-renewal letter clearly communicates your intentions to the other party, ensuring that both the landlord and tenant are aware of the decision not to renew the lease. This helps prevent any misunderstandings and allows for a smoother transition at the end of the lease term.
Legal compliance: Many lease agreements require written notice from either party if they decide not to renew the lease. Providing a lease non-renewal letter fulfills this requirement and helps protect both parties from potential legal disputes related to the lease termination.
Documentation: A written lease non-renewal letter serves as a record of your decision, which can be useful in case any disagreements or disputes arise later on. It provides tangible evidence of your notice, including the date and reasons for not renewing the lease.
Planning: By providing ample notice through a lease non-renewal letter, both parties have time to prepare for the end of the lease term. The landlord can start searching for a new tenant, while the current tenant can make arrangements for a new place to live.
Professionalism: Writing a lease non-renewal letter demonstrates professionalism and courtesy, which helps maintain a positive relationship between the landlord and tenant. This can be beneficial if either party needs a reference or if they cross paths in the future.
Overall, a lease non-renewal letter is an essential step in the process of ending a lease agreement, ensuring clear communication, legal compliance, and a smooth transition for both parties.
How to Write a Lease Non-Renewal
Creating a lease non-renewal letter need not be a complex task. Prioritizing your best interests, allocate a day or two to compose the desired content for your non-renewal notice. To guarantee its comprehensiveness and courteous tone, consider having a professional or trusted acquaintance review your letter. Consulting a real estate lawyer, for instance, can help confirm that your termination conditions are articulated with clarity and precision.
Step 1: Begin with a proper introduction
Start the letter with a proper introduction, addressing the landlord by their name and using a formal tone. Briefly mention the purpose of the letter in the opening sentence.
Example:
(Your Name)
(Your Address)
(City, State, Zip Code)
[Date)
(Landlord’s Name)
(Landlord’s Address)
(City, State, Zip Code)
Dear (Landlord’s Name),
I hope this letter finds you well. I am writing to discuss the upcoming expiration of our lease agreement for the property located at [Property Address].
Step 2: Clearly state your intention
In this paragraph, clearly state your intention not to renew the lease. Make sure to mention the lease’s expiration date.
Example:
As the lease is set to expire on (Lease Expiration Date), I have decided not to renew the lease and will be vacating the property by the end of the current lease term.
Step 3: Provide a reason (optional)
You may choose to provide a reason for not renewing the lease. This step is optional, but it can help maintain a positive relationship with the landlord.
Example:
The reason for my decision is that I have been offered a job opportunity in another city, and I will be relocating to take up this new position.
Step 4: Address any responsibilities or requirements
Mention any responsibilities or requirements related to vacating the property, such as cleaning, returning keys, or scheduling a final walkthrough.
Example:
As per the terms of our lease agreement, I will ensure that the property is thoroughly cleaned and in good condition before vacating. I will also make arrangements to return the keys and schedule a final walkthrough at your convenience.
Step 5: Express gratitude and provide contact information
Thank the landlord for the rental experience and provide your contact information for any further communication.
Example:
I want to take this opportunity to thank you for being an accommodating and responsive landlord during my tenancy. If you have any questions or require further information, please feel free to contact me at (Your Phone Number) or (Your Email Address).
Step 6: Close the letter
End the letter with a professional closing, followed by your name and signature.
Example:
Sincerely,
(Your Name)
(Your Signature, if sending a hard copy)
Communicating Your Decision Not to Renew Your Lease
Various alternatives are available when your lease is nearing its expiration. You can choose to vacate the premises, continue renting on a month-to-month basis according to state laws and your agreement, or enter into a new lease. On the other hand, landlords may decide to terminate the lease or increase rent under a new agreement. State laws typically mandate a 30 or 60-day notice period before you need to vacate the property.
In many states, tenants who stay beyond the lease’s end date without signing a new agreement automatically transition to a month-to-month lease. Regardless of your choice, it is advisable to maintain clear communication with your landlord by outlining your intentions for the end of your lease in writing. Follow these steps if you do not intend to renew your lease:
Under your current lease, you may be required to provide notice to your landlord if you decide not to renew the agreement upon its expiration. It is prudent to put this decision in writing. Keep in mind that many landlords are particular about handling and returning security deposits. Submitting your letter serves as a reminder to your landlord that you anticipate the return of your deposit. A written record helps safeguard your interests, such as establishing that you requested the security deposit since you intend to vacate the property.
After leaving the property, it is your responsibility to notify your landlord of your new address in writing. This allows them to send your security deposit to the correct address. It is highly recommended to compose this letter as a reminder of your expectations and to ensure a smooth transition.
Landlord’s Response to Lease Non-Renewal
Upon receiving your lease non-renewal letter, your landlord will undertake the following actions:
Assess the current lease: Your landlord will review the existing lease to confirm the termination date. Subsequently, they will send a letter in compliance with your state’s notice requirements. Additionally, the landlord will create an inventory of items you must leave on the property, which will be referenced during the final inspection before your departure.
Conduct a property inspection: The landlord will inspect the property to identify any damage beyond normal wear and tear. They should document any such damages with photographs to serve as evidence. Following the inspection, you will be asked to sign a move-out checklist.
Return your security deposit: Once all matters have been resolved, the landlord will request your mailing address to process the return of your security deposit within the timeframe specified by your state. If any damage has occurred during your tenancy, the cost of repairs will be appraised and deducted from your security deposit before the remaining amount is returned to you.
FAQs
When should I send a not renewing lease letter to my landlord?
You should send a not renewing lease letter in accordance with the notice period specified in your lease agreement, which is typically 30 or 60 days before the lease expiration date.
Is it mandatory to provide a reason for not renewing my lease in the letter?
No, it is not mandatory to provide a reason for not renewing your lease. However, offering a reason can help maintain a positive relationship with your landlord.
Can I send a not renewing lease letter via email?
Yes, you can send the letter via email. However, it is recommended to follow up with a hard copy sent via certified mail to ensure that the landlord has received the notice and to maintain a record of the communication.
What if my lease agreement does not mention a notice period for non-renewal?
If your lease agreement does not specify a notice period, follow your local state laws regarding the required notice period for lease non-renewal.
Can my landlord refuse to accept my not renewing lease letter?
As long as you are complying with the terms of your lease agreement and providing the required notice, your landlord cannot refuse to accept your decision not to renew the lease. However, it is essential to maintain open communication with your landlord to address any concerns or issues.
What happens if I fail to send a not renewing lease letter within the required notice period?
If you do not provide the required notice, your lease may automatically convert to a month-to-month agreement, or you may be held responsible for rent payments until a new tenant is found or until the end of the notice period, depending on the terms of your lease and local state laws.
Can I change my mind after sending a not renewing lease letter?
If you change your mind about not renewing your lease, communicate with your landlord as soon as possible. Depending on the landlord’s plans for the property and their willingness to accommodate your request, they may allow you to renew the lease. However, it is ultimately up to the landlord to decide whether to grant a renewal.











































![Free Printable Roommate Agreement Templates [Word, PDF] 1 Roommate Agreement](https://www.typecalendar.com/wp-content/uploads/2023/06/Roommate-Agreement-150x150.jpg)
![Free Printable Credit Card Authorization Form Templates [PDF, Word, Excel] 2 Credit Card Authorization Form](https://www.typecalendar.com/wp-content/uploads/2023/06/Credit-Card-Authorization-Form-150x150.jpg)
![Free Printable Lease Addendum Templates [PDF, Word] 3 Lease Addendum](https://www.typecalendar.com/wp-content/uploads/2023/04/Lease-Addendum-150x150.jpg)
