Establishing a living trust is a crucial method for an individual to ensure a lawful structure is in place to securely hold assets such as property, finances, and other valuables. This type of legal document not only assists in managing your assets during your lifetime but also influences the distribution of those assets upon your passing. Implementing a living trust blueprint can significantly simplify the process for your loved ones to attend to your requirements in case of illness or incapacitation.
Multiple living trust templates are available for reference when crafting a personalized legal document of this nature, but navigating the intricacies can be challenging. Given the significance of this legal paperwork, it is generally unwise to rely solely on chance. As a result, many individuals opt to collaborate with an experienced estate planning attorney to develop this essential document and organize their affairs prior to their departure.
Table of Contents
Living Trust Templates
Living trust templates are comprehensive legal documents that serve as a foundation for creating a living trust. A living trust, also known as a revocable trust or inter vivos trust, is an estate planning tool that allows individuals to manage their assets during their lifetime and ensure a smooth transfer of assets to their chosen beneficiaries upon their death. Living trust templates provide a structured framework and guidelines for individuals to create their own customized living trusts.
These templates are designed to be user-friendly and accessible, enabling individuals to create their living trusts without the need for expensive legal assistance. They typically include a series of pre-drafted provisions and clauses that address various aspects of trust creation, asset management, and distribution. By utilizing these templates, individuals can save time, effort, and costs associated with hiring an attorney to draft a trust from scratch.
A living trust template generally begins with an introduction and declaration of the individual’s intent to create a revocable trust. It outlines the key parties involved, such as the grantor (the individual creating the trust), the trustee (the person responsible for managing the trust assets), and the beneficiaries (those who will receive the trust assets).
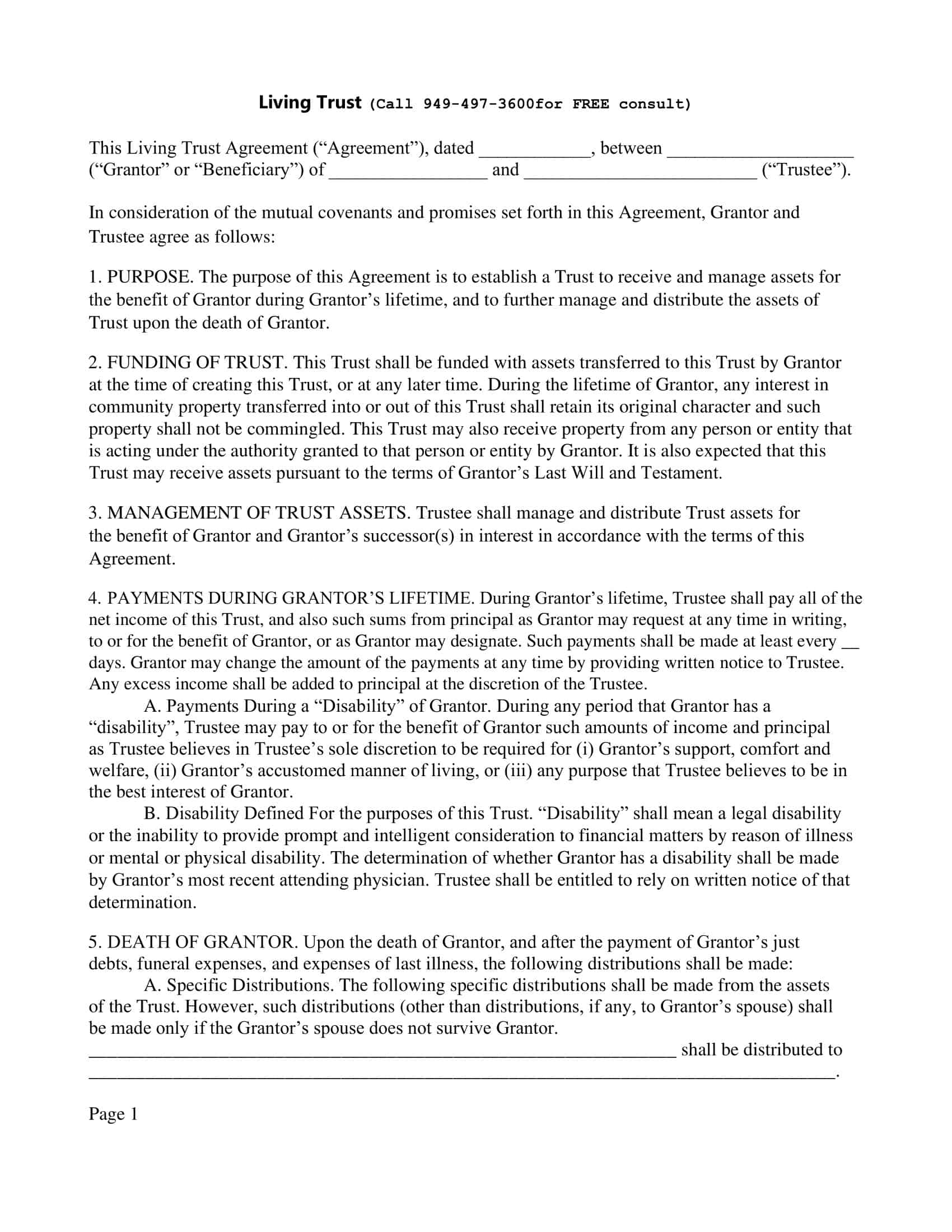
What is a living trust?
![Free Printable Living Trust Templates [PDF] Irrevocable 1 Living Trust](https://www.typecalendar.com/wp-content/uploads/2023/05/Living-Trust.jpg 1920w, https://www.typecalendar.com/wp-content/uploads/2023/05/Living-Trust-300x169.jpg 300w, https://www.typecalendar.com/wp-content/uploads/2023/05/Living-Trust-1024x576.jpg 1024w, https://www.typecalendar.com/wp-content/uploads/2023/05/Living-Trust-768x432.jpg 768w, https://www.typecalendar.com/wp-content/uploads/2023/05/Living-Trust-1536x864.jpg 1536w, https://www.typecalendar.com/wp-content/uploads/2023/05/Living-Trust-1200x675.jpg 1200w)
A living trust, also known as a revocable trust or inter vivos trust, is a legal entity created during an individual’s lifetime to hold and manage their assets. The person creating the trust, known as the grantor or settlor, transfers the ownership of their assets into the trust. The trust is then managed by a trustee, which can be the grantor themselves or another appointed individual.
A living trust allows for efficient management of assets during the grantor’s lifetime and ensures a smooth transfer of assets to the designated beneficiaries after the grantor’s death, bypassing the probate process. Since it is a revocable trust, the grantor maintains control over the trust’s assets and can make changes, including amending or dissolving the trust, during their lifetime.
What is a revocable living trust?
A revocable living trust is a specific type of living trust that allows the person who creates it, known as the grantor or settlor, to make changes, amendments, or even revoke the trust entirely during their lifetime. This flexibility is a key feature that distinguishes a revocable living trust from an irrevocable living trust, which cannot be modified or terminated without the consent of the beneficiaries.
In a revocable living trust, the grantor transfers ownership of their assets to the trust, which is managed by a trustee. The grantor often serves as the trustee during their lifetime, allowing them to maintain control over the assets within the trust. Upon the grantor’s death or incapacitation, a successor trustee, designated in advance, takes over the management of the trust and distributes the assets to the named beneficiaries according to the trust’s terms.
Living Trust Cost: How Much Does It Cost?
The cost of establishing a living trust can vary significantly based on several factors, including your location, the complexity of your assets and estate, and whether you choose to create the trust yourself or hire an attorney to assist you.
If you decide to create a living trust on your own, using online resources or software, the cost may range from $50 to $300 for the necessary forms and templates. Keep in mind that this approach may not be suitable for everyone, especially if you have a complex estate or specific legal concerns.
Hiring an attorney to establish a living trust typically results in higher costs but provides the advantage of professional guidance and expertise. The cost of attorney-assisted living trusts can range from $1,000 to $3,000 or more, depending on the complexity of your estate and the attorney’s fees in your area.
In some cases, the attorney may charge an hourly rate, while others may offer a flat fee for their services. It’s essential to discuss the fee structure and any additional costs, such as filing fees, with the attorney before proceeding with the process.
Keep in mind that the expense of creating a living trust may be justified by the potential savings in avoiding probate costs and ensuring a smooth transfer of assets to your beneficiaries.
What are the advantages and disadvantages of a living trust?
A living trust offers several advantages and disadvantages, which should be carefully considered before deciding if it is the right estate planning tool for your needs.
Advantages of a living trust:
- Avoiding probate: Living trusts allow your assets to bypass the probate process, which can be time-consuming and expensive. This ensures a quicker and more efficient transfer of assets to your beneficiaries.
- Privacy: Unlike a will, which becomes a public document after your death, a living trust remains private. The details of your assets and the identities of your beneficiaries are not disclosed in public records.
- Flexibility: A living trust is revocable, meaning you can amend, modify, or dissolve it during your lifetime. This flexibility allows you to make changes as your circumstances or wishes evolve.
- Incapacity planning: If you become incapacitated, a living trust enables your designated successor trustee to step in and manage your assets on your behalf, without the need for a court-appointed conservatorship.
- Potential tax benefits: In some cases, a living trust can provide tax benefits, particularly for married couples with substantial estates, by taking advantage of certain tax-saving strategies.
Disadvantages of a living trust:
- Initial cost: Establishing a living trust can be more expensive upfront than creating a simple will, particularly if you hire an attorney to draft the documents.
- Administrative tasks: Transferring assets into the trust (known as “funding”) requires additional effort and paperwork. You will need to retitle assets like real estate, bank accounts, and investment accounts in the name of the trust.
- Ongoing management: As the trustee, you must manage the trust and follow certain administrative requirements, such as maintaining separate records and filing tax returns for the trust.
- Not comprehensive: A living trust may not cover all your estate planning needs. For example, it does not designate guardians for minor children or address medical directives. You may still need a will or other estate planning documents to address these concerns.
- No court oversight: Because living trusts avoid probate, there is no court oversight to ensure that the trustee acts in the best interest of the beneficiaries. This can be a disadvantage if there is a dispute among beneficiaries or concerns about the trustee’s actions.
It’s essential to weigh the advantages and disadvantages of a living trust in the context of your specific situation and discuss your options with an experienced estate planning attorney.
How to fill out a living trust form
Completing a living trust form requires careful attention to detail and an understanding of your estate planning goals. While the specific steps may vary depending on the trust form and your individual circumstances, the following general guide outlines the key steps to complete a living trust form:
Choose the type of trust: Decide whether you want to establish a revocable or irrevocable living trust. A revocable trust offers more flexibility, as it can be changed or dissolved during your lifetime, while an irrevocable trust is more permanent and cannot be easily modified.
Select a trust form or template: Obtain a living trust form or template that is compliant with your state’s laws. You can find these forms online, through legal software, or by consulting with an estate planning attorney.
Name the parties involved:
- Grantor/Settlor: This is you, the person creating and funding the trust.
- Trustee: Designate a person or entity to manage the trust’s assets. You can appoint yourself, a trusted friend or family member, or a professional trust company.
- Successor Trustee: Choose one or more individuals or entities to take over the trust’s management if the initial trustee becomes incapacitated or dies.
- Beneficiaries: Specify the individuals or organizations that will receive the assets in the trust after your death.
Describe the trust assets: Provide a detailed list of the assets you wish to transfer into the trust, such as real estate, bank accounts, investment accounts, personal property, and business interests.
Outline the distribution of assets: Clearly define how and when the trust assets will be distributed to your beneficiaries. You can specify lump-sum distributions, periodic payments, or other conditions based on age, milestones, or events.
Consider including additional provisions: Depending on your circumstances and objectives, you may want to include provisions addressing issues such as incapacity, estate taxes, or specific instructions for managing certain assets.
Execute the trust document: Sign and date the trust document in the presence of a notary public, if required by your state’s laws. Some states may also require witnesses to sign the document.
Fund the trust: After completing the trust document, transfer the ownership of your assets into the trust by retitling them in the trust’s name. This may involve drafting and recording new deeds for real estate, updating beneficiary designations, or transferring financial accounts.
Store the trust document: Keep the original trust document in a safe and secure location, such as a safe deposit box or fireproof safe. Provide copies to your trustee and successor trustee, and inform your beneficiaries of the trust’s existence.
Review and update as necessary: Regularly review your living trust and update it as needed to reflect changes in your circumstances, assets, or estate planning goals. Consult with an estate planning attorney if you need assistance or have questions about modifying the trust.
While this guide provides an overview of the process, it is always advisable to consult with an estate planning attorney to ensure that your living trust is properly drafted, funded, and compliant with your state’s laws.
Revocable trust vs. irrevocable trust
A revocable trust and an irrevocable trust are two types of trusts used in estate planning, each with its own unique features, benefits, and limitations. The main differences between them are related to control, flexibility, and asset protection.
Control and flexibility:
Revocable trust:
The grantor (person creating the trust) retains full control over the assets in the trust and can make changes, including modifying, adding or removing assets, changing beneficiaries, or even dissolving the trust entirely during their lifetime.
The grantor can also act as the trustee, managing the trust assets themselves.
Irrevocable trust:
Once established, the grantor relinquishes control over the assets in the trust and cannot easily modify or dissolve the trust.
The grantor typically cannot act as the trustee, and an independent trustee is appointed to manage the trust assets.
Asset protection and estate tax implications:
Revocable trust:
Assets held in a revocable trust are considered part of the grantor’s estate and can be subject to creditors’ claims and estate taxes.
The trust does not provide significant asset protection, as a creditor or legal claimant can potentially access the trust assets to satisfy a judgment against the grantor.
Irrevocable trust:
Assets held in an irrevocable trust are no longer considered part of the grantor’s estate, offering a higher level of protection from creditors and potential lawsuits.
The trust can also provide estate tax benefits, as the assets are not included in the grantor’s taxable estate upon death.
Income tax implications:
Revocable trust:
The grantor is responsible for paying income taxes on the trust’s earnings, as the trust is considered a “grantor trust” for tax purposes.
Irrevocable trust:
The trust itself is typically responsible for paying income taxes on its earnings, as it is considered a separate tax entity.
The choice between a revocable and irrevocable trust depends on your specific estate planning objectives, such as the desired level of control, asset protection, and tax implications. It’s essential to consult with an estate planning attorney or financial advisor to determine which type of trust best suits your needs and goals.
How to Create a Living Trust
Creating a living trust involves a series of steps that require careful attention and planning. Here’s a step-by-step guide to help you establish a living trust:
Step 1: Determine your goals
Before creating a living trust, consider your estate planning objectives, such as managing assets during your lifetime, distributing assets to beneficiaries after your death, and avoiding probate.
Example: You want to ensure that your assets are managed efficiently and transferred to your children without going through probate.
Step 2: Choose the type of trust
Decide whether to establish a revocable or irrevocable living trust based on your needs for control, flexibility, and asset protection.
Example: You choose a revocable living trust for its flexibility and the ability to make changes during your lifetime.
Step 3: Inventory your assets
Make a list of all your assets, including real estate, bank accounts, investment accounts, personal property, and business interests.
Example: Your assets include a house, two bank accounts, a stock portfolio, a valuable art collection, and a small business.
Step 4: Select a trustee
Choose a person or entity to manage the trust’s assets. You can appoint yourself, a trusted friend or family member, or a professional trust company.
Example: You decide to serve as the initial trustee and appoint your sibling as the successor trustee.
Step 5: Designate beneficiaries
Specify the individuals or organizations that will receive the assets in the trust after your death.
Example: You designate your three children as equal beneficiaries of the trust assets.
Step 6: Draft the trust document
Obtain a living trust template or work with an estate planning attorney to draft the trust document, including the trust’s name, the names of the grantor, trustee, and beneficiaries, and details about the assets and distribution provisions.
Example: You hire an attorney to draft the trust document, which includes specific instructions for distributing the assets to your children upon your death.
Step 7: Execute the trust document
Sign and date the trust document in the presence of a notary public, if required by your state’s laws. Some states may also require witnesses to sign the document.
Example: You sign the trust document in front of a notary public and two witnesses, as required by your state.
Step 8: Fund the trust
Transfer the ownership of your assets into the trust by retitling them in the trust’s name. This may involve drafting and recording new deeds for real estate, updating beneficiary designations, or transferring financial accounts.
Example: You retitle your house and bank accounts in the name of the trust, update the beneficiary designations on your stock portfolio, and transfer the ownership of your art collection and business interests to the trust.
Step 9: Store the trust document
Keep the original trust document in a safe and secure location, such as a safe deposit box or fireproof safe. Provide copies to your trustee and successor trustee, and inform your beneficiaries of the trust’s existence.
Example: You store the original trust document in a safe deposit box and provide copies to your sibling and children.
Step 10: Review and update as necessary
Regularly review your living trust and update it as needed to reflect changes in your circumstances, assets, or estate planning goals. Consult with an estate planning attorney if you need assistance or have questions about modifying the trust.
Example: You review your living trust every few years and consult with your attorney to make updates as needed, such as adding newly acquired assets or changing the distribution provisions.
While this guide provides an overview of the process, it is always advisable to consult with an estate planning attorney to ensure that your living trust is properly drafted, funded, and compliant with your state’s laws.
FAQs
Why should I consider creating a living trust?
A living trust can help you manage your assets during your lifetime, avoid the time-consuming and expensive probate process, maintain privacy, and plan for incapacity.
Can I create a living trust myself, or do I need an attorney?
While it is possible to create a living trust yourself using forms and templates, working with an experienced estate planning attorney is recommended, especially if you have a complex estate or specific legal concerns.
How do I fund a living trust?
Funding a living trust involves transferring the ownership of your assets into the trust by retitling them in the trust’s name, such as drafting and recording new deeds for real estate, updating beneficiary designations, or transferring financial accounts.
Do I still need a will if I have a living trust?
It is generally a good idea to have a will in addition to a living trust. A will can address issues not covered by the trust, such as designating guardians for minor children or distributing assets not included in the trust.
What happens to my living trust after I die?
Upon your death, the trustee (or successor trustee) will distribute the trust’s assets to the designated beneficiaries according to the terms of the trust document, bypassing the probate process.
Can a living trust be contested?
While a living trust is generally more difficult to contest than a will, it is not immune to legal challenges. Beneficiaries or other interested parties may contest the trust on grounds such as fraud, undue influence, or the grantor’s lack of capacity at the time of trust creation.
Can a living trust be changed or revoked?
A revocable living trust can be changed, amended, or revoked during the grantor’s lifetime. An irrevocable living trust, however, cannot be easily modified or revoked.
Are living trust forms different in each state?
Living trust forms may vary slightly by state, as state laws can impact certain aspects of trust creation and administration. It’s essential to use a trust form or template that complies with your state’s laws, or consult with an estate planning attorney for guidance.
Does a living trust protect assets from creditors?
A revocable living trust does not offer significant protection from creditors, as the assets are still considered part of the grantor’s estate. However, an irrevocable living trust can offer better asset protection, as the assets are no longer considered part of the grantor’s estate.
Does a living trust help reduce estate taxes?
A revocable living trust does not provide estate tax benefits, as the assets are still considered part of the grantor’s taxable estate upon death. An irrevocable trust, on the other hand, can help reduce estate taxes by removing the assets from the grantor’s taxable estate.
Who can act as a trustee for a living trust?
A trustee can be the grantor (for a revocable living trust), an individual (such as a trusted friend or family member), or a professional trust company or financial institution. The trustee must be at least 18 years old and capable of managing the trust assets responsibly.
Can a living trust own real estate?
Yes, a living trust can own real estate. To transfer real estate into a living trust, the grantor must execute a new deed, transferring the property’s title from their name to the trust’s name.
Can a living trust own a business?
Yes, a living trust can own a business, either through ownership of the business’s assets or ownership interests (such as stocks or membership interests in a corporation or limited liability company). Transferring a business to a living trust may have tax implications and should be discussed with an attorney or financial advisor.
Can a living trust be a beneficiary of a life insurance policy or retirement account?
Yes, a living trust can be named as a beneficiary of a life insurance policy or retirement account. However, it is essential to consider the potential tax implications and distribution rules associated with naming a trust as a beneficiary, and it may be advisable to consult with an estate planning attorney or financial advisor.
Can I have multiple living trusts?
Yes, it is possible to have multiple living trusts, especially if you have complex estate planning needs or specific goals for different assets or beneficiaries. However, managing multiple trusts can be more complicated and may increase administrative costs.
What is a pour-over will, and how does it relate to a living trust?
A pour-over will is a type of will that directs any assets not included in a living trust at the time of the grantor’s death to be transferred into the trust. This ensures that all of the grantor’s assets are distributed according to the terms of the trust, even if they were not initially funded into the trust.
Is a living trust public or private?
A living trust is a private document that is not filed with the court or made public like a will. The trust’s terms and asset information remain confidential, providing privacy for the grantor and beneficiaries.
Can a living trust be used for incapacity planning?
Yes, a living trust can be used for incapacity planning by including provisions that address the grantor’s potential incapacity. The trustee or a named successor trustee can manage the trust assets for the grantor’s benefit if they become unable to do so themselves due to incapacity.









































![Free Printable Trust Agreement Templates [PDF, Word] Business 2 Trust Agreement](https://www.typecalendar.com/wp-content/uploads/2023/05/Trust-Agreement-1-150x150.jpg)
![%100 Free Hoodie Templates [Printable] +PDF 3 Hoodie Template](https://www.typecalendar.com/wp-content/uploads/2023/05/Hoodie-Template-1-150x150.jpg)
![Free Printable Food Diary Templates [Word, Excel, PDF] 4 Food Diary](https://www.typecalendar.com/wp-content/uploads/2023/05/Food-Diary-1-150x150.jpg 150w, https://www.typecalendar.com/wp-content/uploads/2023/05/Food-Diary-1-1200x1200.jpg 1200w)
