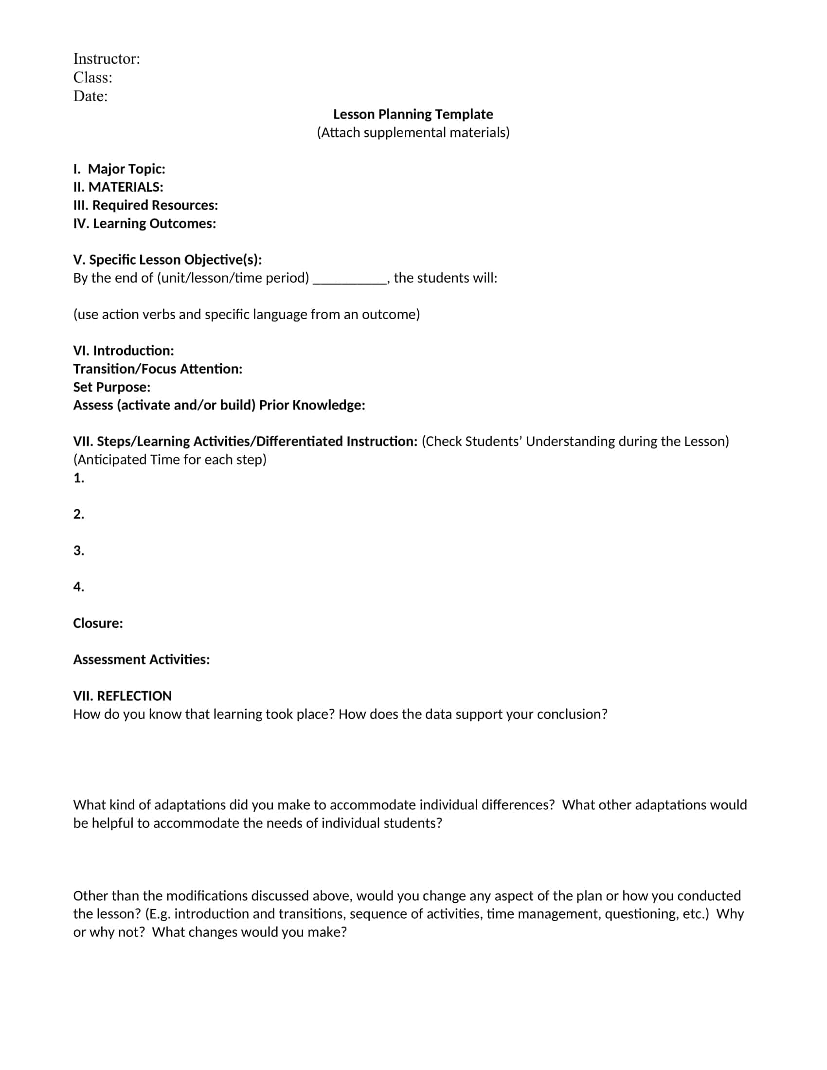
A lesson plan is a roadmap for teachers to deliver their educational program. It provides a step-by-step approach to the daily lesson plan and focuses on each learning area. In simple terms, it could be said that a lesson plan is just a specialized version of your curriculum.
Table of Contents
Why do we need to use a lesson plan?

The fast-paced environment of today’s classrooms and the sheer volume of information needed to be retained by a student are some of the many reasons why an organized approach to lesson planning is necessary. Minds wander easily; when you’re in the classroom, it’s hard to maintain control of all your students, and even if you want to take notes, there never seems to be enough time! The organization is key when it comes to saving time before, during, and after lessons.
Lesson Plan Templates
That’s why we’ve designed this editable lesson plan template that contains everything you need to get started with your own class planning strategies – including a grading rubric that will help you evaluate student performance at the conclusion of each one. Whether you’re teaching kindergarten or advanced placement courses, this editable skill plan will help you save valuable time while helping your class succeed in their studies.
When teachers take up a new job, the first thing on their agenda is to create a lesson plan template that explains what they intend to teach and how they will achieve it. This lesson plan template is often sent to school authorities for approval, after which it is used for the next classes. You can use your own lesson plan templates when you start teaching a new subject to your students.
Developing lesson plans for whole classes is hard work. But imagine if you could have a whole week’s worth of lesson plans all prepared before you even started work. This would leave you time to do other things, like give your lessons and prepare for the next day. The preparation would make everything easier and quicker, so you can enjoy your work rather than struggling through each day.
Components of a Good Lesson Plan
A good lesson plan can include something for students to do, help for students to learn, and ways to measure learning. Effective lesson plans have clear goals and direction and support the teaching philosophy. They can also be adapted to specific learners.
Objectives
Knowing how to write objectives for your lesson plan is essential because objectives are the driving force behind everything you do. If a teacher gives a lesson without knowing what she wants to achieve, that would be a problem. She may not be able to assess whether her lesson was successful or not.
Anticipatory set
As the teacher, you get about half the time to explain things. So, give it your all in a few minutes. Offer an array of multimedia examples and visuals to generate more interest in your lesson, and keep your students from zoning out. Every lesson plan should have some anticipation of learning. This can be done through various methods, but as long as you provide several strategies for intrigue and stimulation during the lesson plan itself, you won’t need to rely on anything else for a successful lesson plan.
Direct instruction
Use the direct instruction method to teach students the concepts described in your lesson. Direct instruction is a teaching method that emphasizes direct and explicit teaching instead of discovery learning. The teacher gives students the information they need to know right away, such as simply telling them the answers to math problems or lecturing about a historical period. This is a great way to make sure you cover all of the material you think is important for students to know.
Required resources
If you want to prepare perfect lesson plans, kindly be sure to make a note of the resources required. This is because teachers often develop great lesson plans, but they fail to mention the resources needed to implement it successfully. As such, by including the resources needed in your lesson plan, you’ll ensure that you have everything required to execute the plan successfully.
Guided Practice
Guided Practice helps students develop skills, memory, and competencies by allowing them to apply the knowledge that has been practically taught to them. Guided learning is most suitable for high school and college-level classes where the students are expected to employ these skills in the future. The learning capabilities of students at this level are relatively mature, and because of this, they are expected to have a better grasp of the subject at hand.
Closure
When we close a lesson plan, our intention is for the students to benefit from it. For that to happen, it needs to be closed meaningfully. However, many times closure is not given the importance that it deserves. In this section of your lesson plan, use a format in which you provide the students with a detailed understanding of how to utilize the information they’ve learned in the lesson content.
Independent Practice
The Independent Practice demonstrates how students will react when they are left on their own. When students are allowed to practice independently or take time to think about topics without the teacher’s aid, class time can be used for other things.
Assessment and Follow-Up
Assessment and follow-up are often overlooked but equally important aspects of any learning activity. It does not matter how well you plan your lessons, how exciting the activities are, or how revolutionary the teaching tools you use are — none of it matters if your students do not retain anything from the lesson. If that happens, not only has the lesson failed to achieve its intended outcome, but it also wastes the time and resources of everyone involved. In order to avoid this from happening, assessments and follow-ups should be present in all the sections of a lesson plan.
What are the three types of lesson plan templates?
Common core lesson plan template
A Common Core Lesson plan template helps teachers make lesson plans related to lessons that are aligned to common core state standards. Students can also use this along with helping teachers.
Preschool lesson plan template
It is common to start preschool lesson planning without a preschool lesson plan template available. A preschool lesson plan template is generally a guideline for the lesson plan writing.
A preschool teacher can follow the preschool lesson plan template and create a good, comprehensive preschool lesson plan. However, when a specific theme or topic has to be taught in the classroom, then a preschool lesson plan template can help you figure out how to go about it with little stress.
Weekly lesson plan template
While it is tempting for teachers to assign homework for every day of the week, it doesn’t always make sense. The workload of school students is already heavy, and carrying out daily assignments may lead to a child’s failure in the long run. The weekly lesson plan template has been designed by keeping this aspect in mind.
How to Make a Lesson Plan
- Before lesson planning, the teacher should determine the goals and desired behaviors that will be given to the students.
- The teacher should consider the content and curriculum in which the target behaviors will be taught.
- The teacher must answer the question of how to achieve the desired goals. The answer to this question provides information to assist in applying the instructional strategies to the plan. The teacher should include the teaching methods and techniques that he will use while teaching the lesson.
- The teacher should reflect on the measurement techniques in the lesson plan and decide how to evaluate the gains.
- Assessment techniques can also be reflected in the plans to determine the degree to which the desired behaviors are acquired by the student daily.
- The teacher should prepare the lesson plan with objectives, content, teaching methods, and assessment techniques.
5E Model of Instruction
The 5E Model is an important teaching method and technique that teachers use when preparing lesson plans. In the 5E Model, the main thing is to keep the student active in the lesson and to monitor the student’s achievements.
In the Model, there are the stages of increasing the student’s interest in the lesson with the introduction, attracting attention, revealing the problem, making the problem aware of the solution strategy and encouraging the student to interpret the information by deepening the subject and evaluating the achievements. Before answering the question of how to prepare a lesson plan according to the 5e Model, the Model can be briefly grasped in this way. The plan is arranged to include these stages.
Development of A Template Lesson Plan Based on the 5E Model
The 5E model lesson plan generally has two parts. In the first part, the teacher plans the subject of the lesson, the learning area, the learning outcomes, the materials to be used in the lesson, and the duration of the lesson. In the second part of the plan, he should explain how he will teach the lesson according to the 5E Model. Accordingly, it should use the following headings in its plan:
Entrance: The teacher should include in the plan how to attract the students’ attention to the subject of the lesson and which instruction to use at the beginning of the lesson.
Discovery: At the beginning of the lesson, the teacher should briefly plan how he will teach the lesson, the question he will present to the students before the lesson, or how he will involve the student.
Explanation: The teacher should reflect on how they will elaborate on the subject in the plan.
Deepening: The teacher should explain in the plan how to explain the subject in a way that will allow the students to comment, analyze, synthesize and raise awareness.
Evaluation: In this part of the plan, the teacher should include how they will determine how well the students understand the subject.
Preparation for the next lesson; In this part, the teacher should plan the homework he will give to the students or what he will ask from the students for the next lesson.
FAQs
How to write a lesson plan?
A: State the learning objectives. Plan the introduction. Outline content delivery. List participatory activities. Explain assessments. Anticipate timing and transitions. Include relevant visuals or handouts.
How detailed should lesson plans be?
Lesson plans should be detailed enough that a substitute teacher could understand them. But avoid writing out every word or minute. Use clear headings and bullet points for clarity.
What should I include for differentiated instruction?
Note adaptations like modified assignments, small group instruction, extra time or support for struggling students, and enhanced activities for advanced learners.
Where can I find lesson plan templates and examples?
Lesson plan templates are available from teacher resource sites, blogs, curriculum publishers, school districts, and online sources like TeachersPayTeachers. Adapt examples to fit your needs.
What are the 5 parts of a lesson plan?
The 5 key parts of a lesson plan are:
- Objectives – Goals for student learning
- Introduction – Gain student interest
- Instruction – Present material and guide activities
- Practice – Allow students to apply concepts
- Assessment – Evaluate if objectives were met
What are the 7 basic parts of a lesson plan?
The 7 parts are:
- Aims and Objectives
- Prior Knowledge
- Materials Needed
- Introduction
- Content Delivery
- Guided Practice
- Closure
What is the 4 As format for lesson plans?
The 4 As are:
- Anticipatory Set – Introduction
- Active Instruction – Teach Content
- Allow time for Practice – Activities
- Assess Learning – Evaluate Understanding
















































![Free Printable Roommate Agreement Templates [Word, PDF] 1 Roommate Agreement](https://www.typecalendar.com/wp-content/uploads/2023/06/Roommate-Agreement-150x150.jpg)
![Free Printable Credit Card Authorization Form Templates [PDF, Word, Excel] 2 Credit Card Authorization Form](https://www.typecalendar.com/wp-content/uploads/2023/06/Credit-Card-Authorization-Form-150x150.jpg)
![Free Printable Stock Ledger Templates [Excel,PDF, Word] 3 Stock Ledger](https://www.typecalendar.com/wp-content/uploads/2023/08/Stock-Ledger-150x150.jpg)
