...
Skip to content

Free Printable Service Agreement Templates [PDF, Word]

    A Service Agreement is a legally binding document between a service provider and a client that outlines the terms and conditions of the services being provided. It is an essential document that clarifies the expectations, responsibilities, and rights of both parties involved.

    Whether you’re a service provider or a client, having a clear and comprehensive Service Agreement can help prevent misunderstandings and ensure that both parties are satisfied with the arrangement. In this article, we will discuss the key components of a Service Agreement and why it’s important to have one in place.

    Service Agreement Templates

    Service Agreement Templates are pre-designed and customizable documents that outline the terms and conditions governing the provision of services between two parties. These templates serve as a convenient and time-saving solution for businesses and individuals seeking to establish clear and legally binding agreements with their clients or service providers.

    Service Agreement Templates provide a structured framework for defining the scope of services, responsibilities of each party, payment terms, duration of the agreement, and any specific terms or conditions that may apply. These templates are typically created by legal professionals or experts in contract law, ensuring that they adhere to legal requirements and best practices.

    Service Agreement Templates are typically provided in editable formats, such as Microsoft Word or PDF, allowing users to customize them to suit their specific needs. It is important to carefully review and modify these templates to accurately reflect the details and requirements of the service engagement before finalizing and signing the agreement.

    What is a standard service agreement?

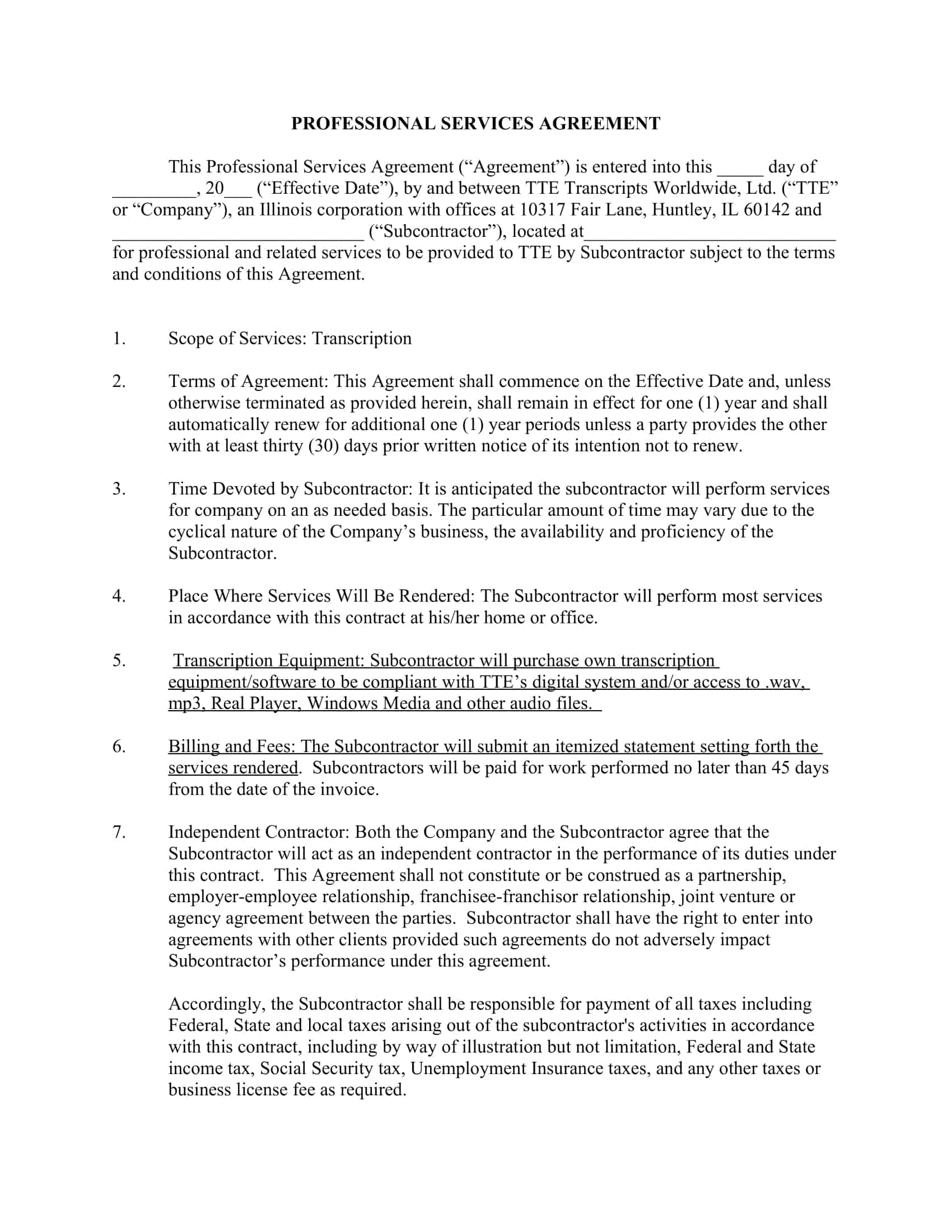
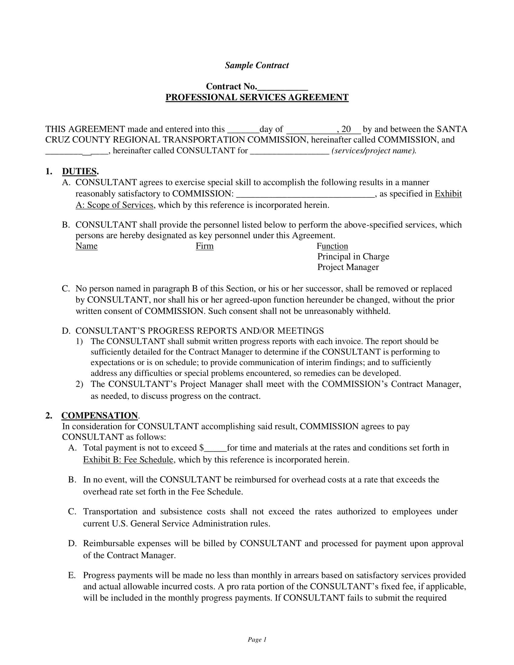
    Service Agreement
    Service Agreement

    A standard service agreement is a pre-written or template-based contract that outlines the basic terms and conditions of a service agreement. It is a document that is typically used by service providers to streamline the contract creation process and reduce the time and resources required to create a custom agreement for each client.

    Standard service agreements typically include provisions such as the scope of services, payment terms, confidentiality and non-compete clauses, and dispute resolution procedures. These agreements are not tailored to the specific needs of each client, but rather provide a basic framework that can be used as a starting point for negotiations.

    Standard service agreements can be useful for small businesses or service providers that do not have the resources to create a custom agreement for each client. However, it is important to remember that these agreements may not adequately address the specific needs and requirements of each client and may need to be modified or customized accordingly.

    When should I use a written Service Agreement?

    A written Service Agreement should be used whenever services are being provided, whether it’s between individuals or between businesses. A Service Agreement should be used when:

    • The services being provided are complex or involve a significant investment of time and resources.
    • There is a need to clearly define the terms and conditions of the services being provided, including payment terms, deadlines, and deliverables.
    • Both parties want to avoid misunderstandings or disputes about the services being provided.
    • The services being provided are ongoing and may need to be adjusted or modified over time.
    • The services being provided are unique and may need to be customized for the specific needs of the client.

    Having a written Service Agreement in place can provide clarity and peace of mind for both parties involved and help ensure that the services are delivered as expected.

    Who Needs a Service Agreement?

    A Service Agreement is needed by both the service provider and the client when services are being provided. The service provider needs a Service Agreement to:

    • Clearly outline the terms and conditions of the services being provided
    • Protect their business interests by establishing payment terms and protecting their intellectual property
    • Prevent misunderstandings or disputes with the client by clearly defining expectations, responsibilities, and rights
    • The client needs a Service Agreement to:
    • Understand the terms and conditions of the services being provided
    • Ensure that the services being provided meet their needs and expectations
    • Protect their investment by clearly defining the scope of services, payment terms, and delivery deadlines

    Both the service provider and the client benefit from a Service Agreement by having a clear understanding of their responsibilities and expectations. This can help prevent misunderstandings and disputes, and ensure that the services are delivered as expected.

    Parts of a Standard Service Agreement

    A standard Service Agreement typically includes the following key parts:

    Introduction: This section provides an overview of the agreement, including the parties involved, the purpose of the agreement, and the effective date.

    Description of Services: This section outlines the specific services that the service provider will be providing, including the scope of work, deliverables, and any milestones or deadlines.

    Payment Terms: This section outlines the payment terms, including the amount of payment, the payment schedule, and any late payment penalties.

    Confidentiality: This section outlines the obligations of both parties with respect to the confidentiality of information and any restrictions on the use of the information.

    Intellectual Property Rights: This section outlines the ownership and protection of any intellectual property created or developed as part of the services being provided.

    Termination: This section outlines the circumstances under which the agreement can be terminated, including termination for cause, termination for convenience, and any consequences of termination.

    Dispute Resolution: This section outlines the process for resolving disputes that may arise under the agreement, including mediation, arbitration, or litigation.

    Governing Law: This section outlines the law that governs the agreement, including the jurisdiction in which any legal disputes will be resolved.

    Miscellaneous: This section includes any additional provisions, such as non-compete clauses, representations and warranties, and indemnification.

    Having these key parts in a Service Agreement helps to ensure that the agreement is comprehensive, clear, and enforceable. It also helps to protect the interests of both parties and prevent misunderstandings or disputes.

    Limitations of a Standard Service Agreement

    A Standard Service Agreement may have certain limitations, including:

    Inflexibility: Standard Service Agreements are usually pre-drafted and may not be tailored to the specific needs of a particular situation.

    Limited legal protection: While a Standard Service Agreement can provide some level of legal protection, it may not provide adequate protection in the event of a dispute or legal action.

    Unforeseen circumstances: A Standard Service Agreement may not take into account unforeseen circumstances that may arise during the course of the agreement.

    Inadequate terms: The terms included in a Standard Service Agreement may not be suitable for the particular situation, or may not fully address the concerns of the parties involved.

    Incomplete provisions: Some Standard Service Agreements may include provisions that are not legally enforceable or that are not comprehensive enough to address all of the parties’ needs.

    It is important to carefully review a Standard Service Agreement to ensure that it meets the needs of the parties involved and that it provides adequate legal protection. If necessary, it may be necessary to consult with a lawyer or other legal professional to ensure that the agreement meets the requirements of the parties involved.

    How to Write a Service Agreement

    Creating a Service Agreement involves the following steps:

    Define the scope of services

    The first step in creating a Service Agreement is to clearly define the scope of services that will be provided. This includes the type of services, the expected outcome, and the timeframe for delivery.

    Identify the parties involved

    The Service Agreement should identify the parties involved, including the service provider and the client. It is important to clearly state the names and addresses of the parties involved.

    Establish payment terms

    Payment terms should be clearly defined in the Service Agreement, including the amount to be paid, payment schedule, and any penalties for late payment.

    Define the terms of the agreement

    The Service Agreement should define the terms of the agreement, including the length of the agreement, the date of commencement, and any termination provisions.

    Outline responsibilities

    The Service Agreement should outline the responsibilities of each party, including the service provider’s responsibility to provide the services and the client’s responsibility to pay for the services.

    Include a confidentiality clause

    A confidentiality clause should be included in the Service Agreement to protect sensitive information. This clause should specify what information can and cannot be disclosed and by whom.

    Address potential disputes

    The Service Agreement should address potential disputes, including a dispute resolution process and the governing law in the event of a dispute.

    Review and sign the agreement

    Both parties should review the Service Agreement to ensure that it meets their needs and that they understand the terms of the agreement. Once both parties have agreed to the terms, they should sign the agreement and retain a copy for their records.

    It is important to consult with a lawyer or other legal professional to ensure that the Service Agreement meets the requirements of the parties involved and provides adequate legal protection. A well-drafted Service Agreement can help to ensure that both parties understand their obligations and can help to avoid disputes in the future.

    FAQs

    Who can write a Service Agreement?

    A Service Agreement can be written by a lawyer or other legal professional. However, it is important to ensure that the agreement meets the needs of both parties and provides adequate legal protection.

    What happens if the Service Agreement is breached?

    If the Service Agreement is breached, the non-breaching party may be entitled to seek remedies, such as monetary damages or termination of the agreement. In some cases, the parties may need to go to court to resolve the dispute.

    What if changes need to be made to the Service Agreement?

    If changes need to be made to the Service Agreement, the parties should agree to the changes in writing and sign a new agreement or amendment to the existing agreement.

    How often should a Service Agreement be reviewed?

    A Service Agreement should be reviewed periodically, especially if the circumstances of the service or the parties involved have changed. This can help ensure that the agreement continues to meet the needs of both parties and provides adequate legal protection.

    Can a Service Agreement be terminated early?

    A Service Agreement can be terminated early by mutual agreement between the parties, or by one party if the other party breaches the agreement. The terms for termination should be included in the agreement.

    What if there is a dispute under the Service Agreement?

    In the event of a dispute under a Service Agreement, the parties should try to resolve the dispute through negotiation or alternative dispute resolution methods, such as mediation or arbitration. If the dispute cannot be resolved, the parties may need to go to court.

    Is a Service Agreement legally binding?

    A Service Agreement is a legally binding contract, and the parties are obligated to follow the terms of the agreement. It is important to ensure that the agreement is legally sound and meets the needs of both parties before it is signed.

    Click to rate this post!
    [Total: 1 Average: 5]
    Betina Jessen

    Betina Jessen

    Leave a Reply

    Your email address will not be published. Required fields are marked *