Divorce Papers are legal documents that are used to initiate the process of ending a marriage. These papers contain information about the parties involved, the reasons for the divorce, and any agreements related to property, child custody, and support. Filing divorce papers with a court is the first step in obtaining a divorce, and it is important to understand the requirements and procedures involved in the process. In this article, we will provide an overview of what divorce papers are, what information they contain, and the steps involved in filing them.
Table of Contents
What Is a Divorce?

Divorce is the legal termination of a marriage by a court or other competent body. It is a process that involves the legal dissolution of the marital union, and typically involves settling issues related to property division, child custody, alimony, and other related matters. The grounds for divorce vary by jurisdiction, but may include irreconcilable differences, cruelty, or abandonment. The process of divorce can be emotionally and financially challenging, and it is important for individuals to understand their rights and responsibilities during this time.
Divorce Papers Templates
Divorce Papers Templates are legally formatted documents that facilitate the dissolution of a marriage or civil union. These templates provide a structured format for individuals seeking a divorce to outline the terms and conditions of the separation. Divorce Papers Templates help ensure that the necessary information and legal requirements are properly documented, making the divorce process more organized, consistent, and legally compliant.
Divorce Papers Templates provide a standardized and organized approach to documenting the terms of a divorce. However, it is important to note that divorce laws and procedures can vary significantly depending on the jurisdiction. Individuals seeking a divorce should consult with legal professionals or relevant authorities to ensure that the Divorce Papers Template aligns with the specific legal requirements in their jurisdiction. Legal advice can help individuals navigate the complex divorce process, ensure their rights are protected, and promote a fair resolution for all parties involved.
Why Divorce Is So Common In Today’s Society ? Why is it rising ?
Divorce rates have been increasing globally over the past few decades. Some of the reasons for this rise include:
Changing social attitudes towards divorce: Divorce is no longer viewed as taboo, and society is becoming more accepting of divorce as a solution to marital problems.
Increase in women’s independence: Women are now more likely to be financially independent and are therefore less likely to tolerate unsatisfactory marriages.
Increased communication: Improved communication and access to information has allowed individuals to better understand their options and make informed decisions about their relationships.
Rising expectations: People have higher expectations for their marriages and are less likely to stay in unhappy relationships.
Increase in cohabitation: The rise of cohabitation before marriage may contribute to a higher rate of divorce as individuals have less commitment to their relationships and may be more likely to dissolve the relationship if it is not working.
It’s worth noting that divorce rates vary across countries and cultures and that there is no one-size-fits-all explanation for the rise in divorce rates.
What are the most common causes of divorce?
Divorce can be caused by a range of factors, including:
Infidelity: Cheating or having an affair can be a significant cause of divorce.
Communication problems: Poor communication, misunderstandings, and lack of intimacy can lead to the breakdown of a marriage.
Money issues: Money problems, such as disagreements over finances or differing spending habits, can put a strain on a relationship and lead to divorce.
Growing apart: People grow and change over time, and sometimes couples grow apart and no longer have common interests or goals.
Lack of intimacy: A lack of physical and emotional intimacy can be a major contributor to the breakdown of a marriage.
Differences in values: Couples may have different beliefs, values, and lifestyles, which can create conflicts and lead to divorce.
Domestic violence: Physical, emotional, or psychological abuse can cause significant harm to a relationship and may lead to divorce.
These are just a few of the many reasons why people choose to get divorced. It’s important to remember that every relationship and situation is unique, and that the reasons for divorce can be complex and multi-faceted.
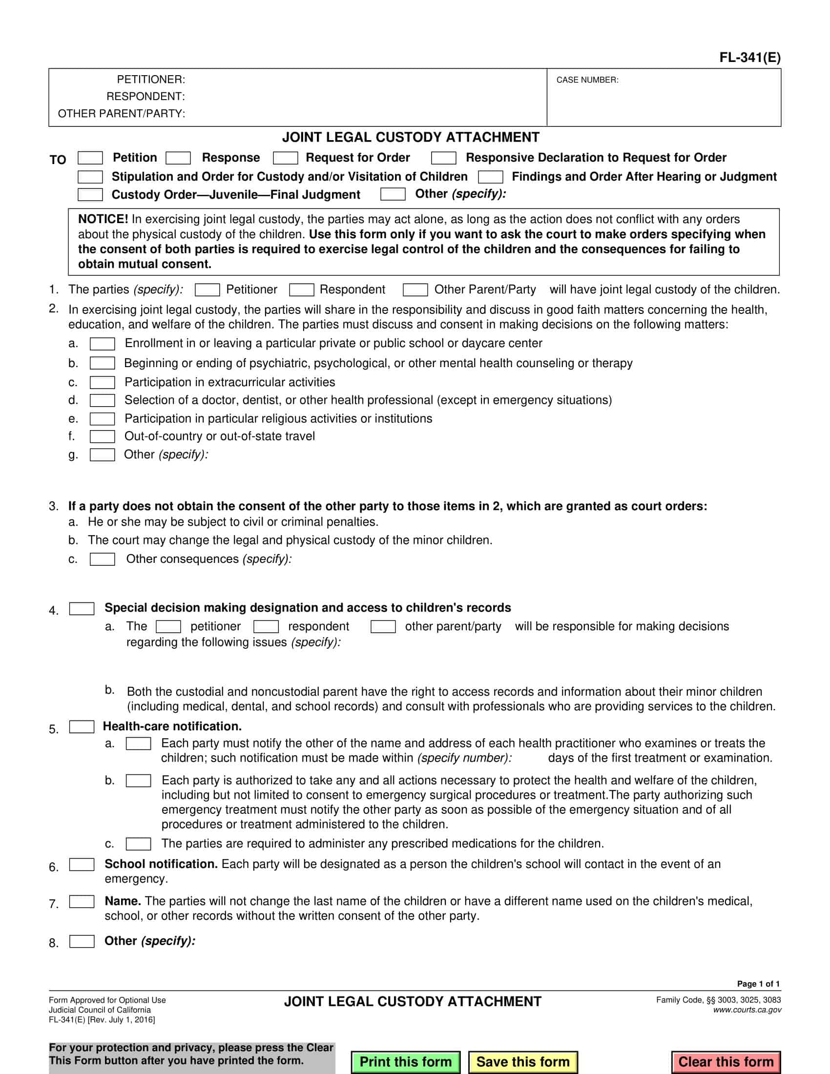
Types of Divorce Papers
Petition for Divorce: A document that initiates the divorce process, filed by the person seeking the divorce (the petitioner).
Summons: A legal notice to the respondent, informing them of the divorce proceedings and their legal obligations.
Response to a Divorce Petition: A document filed by the respondent in response to the petition for divorce.
Settlement Agreement: A document that outlines the terms of the divorce, including property division, spousal support, and child custody arrangements.
Decree of Divorce: A court order that officially ends the marriage and outlines the terms agreed upon in the settlement agreement.
Marital Settlement Agreement: A document that outlines the terms of the divorce, including property division, spousal support, and child custody arrangements.
Motion for Temporary Orders: A request for temporary decisions on important issues, such as child custody and support, while the divorce is pending.
Affidavit in Support of Divorce: A sworn statement that provides additional evidence in support of the petition for divorce.
How to File for Divorce?
Step by step guide to filing for divorce:
Determine eligibility: Ensure that you or your spouse meet the residency requirements for the state where you want to file for divorce.
Choose a process: Decide whether you want to file for divorce through the traditional litigation process or an alternative dispute resolution method such as mediation or collaboration.
Prepare divorce papers: Obtain the necessary divorce forms, including the petition for divorce, summons, and any additional required documents for your state.
File the divorce papers: Submit the completed divorce papers to the appropriate court, along with any filing fees. If your spouse is served with the divorce papers, they have a set time frame to respond.
Serve the respondent: If the respondent is not able to be served in person, other methods of service such as mail or publication may be used.
Negotiate a settlement: If both parties agree on the terms of the divorce, they can negotiate and sign a settlement agreement. If not, a court hearing may be scheduled.
Finalize the divorce: If a settlement agreement is reached, the court will review and approve it. If not, the court will make a decision on all remaining issues in the divorce.
Obtain the final divorce decree: Once the court issues a final decree of divorce, the divorce is considered final and both parties are legally bound to abide by the terms outlined in the decree.
FAQs
What are divorce papers?
Divorce papers refer to the legal documents that are filed with the court to initiate the divorce process and ultimately end a marriage.
What is the first step in filing for divorce?
The first step in filing for divorce is to determine eligibility, by ensuring that you or your spouse meet the residency requirements for the state where you want to file.
Is it necessary to have a lawyer to file for divorce?
While it is not required to have a lawyer to file for divorce, it is advisable to seek legal counsel to understand the process, your rights, and the potential outcomes of the divorce.
How long does it take to get a divorce?
The length of time it takes to get a divorce varies and depends on several factors such as the complexity of the case, the willingness of both parties to cooperate, and the backlog of the court system. On average, a divorce can take anywhere from several months to over a year.
How much does it cost to file for divorce?
The cost of filing for divorce can vary, but typically involves paying a filing fee to the court, as well as additional costs such as attorney fees and other expenses related to the divorce process.
Can a divorce be finalized without a court hearing?
Yes, a divorce can be finalized without a court hearing if both parties reach a settlement agreement and the terms are approved by the court.
Can a divorce be reopened after it is finalized?
In some cases, a divorce can be reopened after it is finalized, for example, if there is a material change in circumstances, such as a significant change in income. However, the circumstances and requirements for reopening a divorce vary by state, and it is advisable to seek legal counsel for guidance.
Is a divorce settlement legally binding?
Yes, a divorce settlement agreement is legally binding once it is approved and incorporated into the final decree of divorce.
Can a divorce settlement be changed after it is approved by the court?
In some cases, a divorce settlement can be modified after it is approved by the court, for example, if there is a significant change in circumstances or if the agreement was based on incorrect information. However, the circumstances and requirements for modifying a divorce settlement vary by state, and it is advisable to seek legal counsel for guidance.
What happens if one party does not comply with the divorce settlement agreement?
If one party does not comply with the terms of the divorce settlement agreement, the other party may have legal remedies, such as seeking enforcement through the court.
Can a divorce be contested?
Yes, a divorce can be contested if one party disagrees with the terms of the divorce, the grounds for the divorce, or if they do not want the divorce to proceed.
Can a divorce be finalized without the consent of both parties?
In some cases, a divorce can be finalized without the consent of both parties if one party fails to respond to the divorce proceedings, or if the court finds that the grounds for the divorce have been met.
Does the division of property in a divorce follow a specific formula?
The division of property in a divorce depends on the laws of the state where the divorce is filed, but typically follows either an equal division or a fair division principle, taking into account factors such as the length of the marriage, the contributions of each party, and the financial situation of each party.
How does child custody and support get determined in a divorce?
Child custody and support are typically determined through negotiation between the parties, with the court making a final determination if the parties cannot reach an agreement. The court will consider the best interests of the child, including factors such as the child’s relationship with each parent, the ability of each parent to provide for the child, and any history of abuse or neglect.
























































![Free Printable Roommate Agreement Templates [Word, PDF] 1 Roommate Agreement](https://www.typecalendar.com/wp-content/uploads/2023/06/Roommate-Agreement-150x150.jpg)
![Free Printable Credit Card Authorization Form Templates [PDF, Word, Excel] 2 Credit Card Authorization Form](https://www.typecalendar.com/wp-content/uploads/2023/06/Credit-Card-Authorization-Form-150x150.jpg)
![Free Printable Stock Ledger Templates [Excel,PDF, Word] 3 Stock Ledger](https://www.typecalendar.com/wp-content/uploads/2023/08/Stock-Ledger-150x150.jpg)
