To earn a living, you need work, and to prove yourself worthy of that work, you need a strong curriculum vitae (CV). While some companies may only require an application form, a well-written CV can set you apart from other candidates and increase your chances of getting an interview or being considered for a higher-level position.
Submitting a top-notch CV alongside an application form demonstrates your professionalism and can make all the difference in your job search. In this article, we will provide tips and best practices for creating a standout CV that showcases your skills and achievements.
Table of Contents
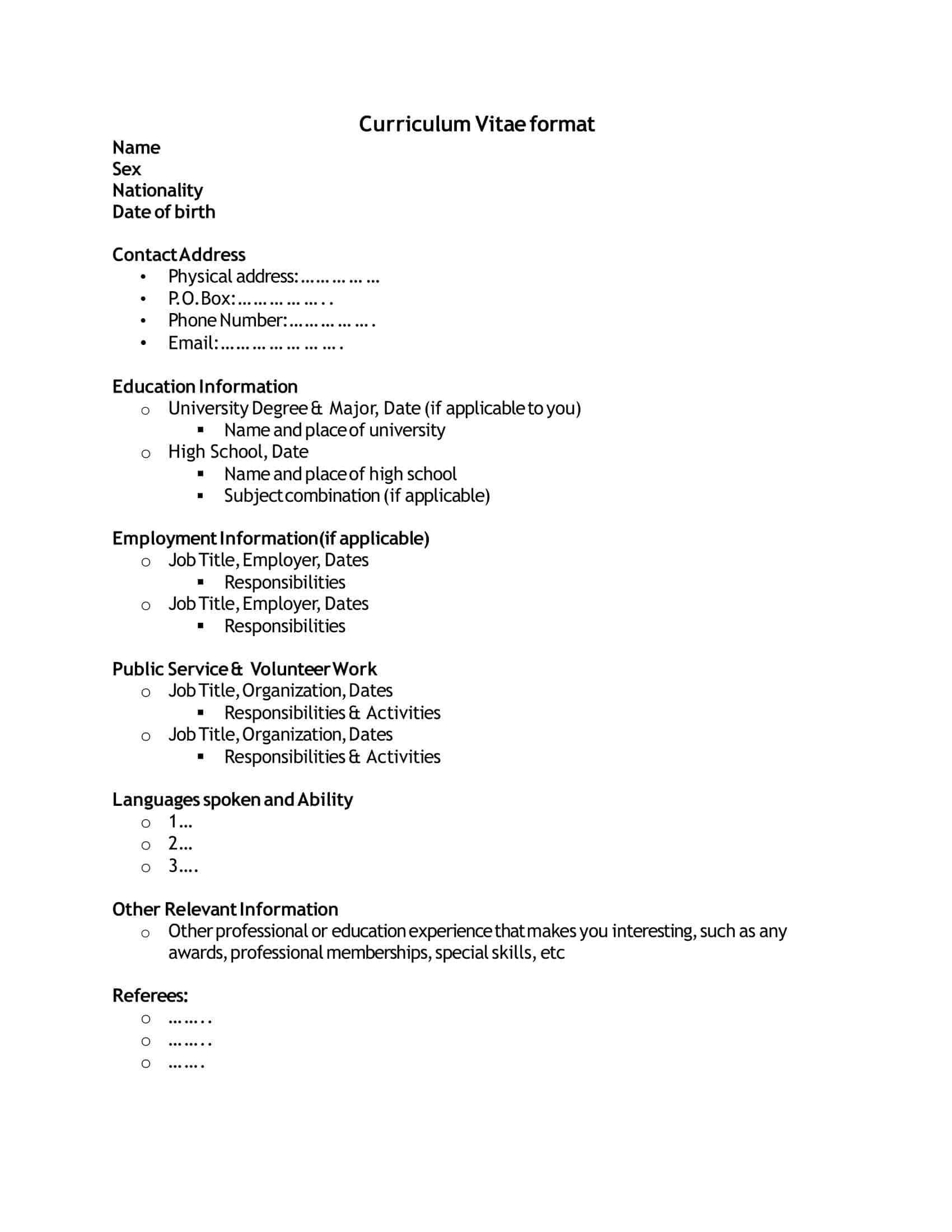
Curriculum Vitae Templates
Curriculum Vitae (CV) templates are widely used and highly valuable tools in the job application process. A CV is a comprehensive document that provides a detailed overview of an individual’s educational background, work experience, skills, accomplishments, and other relevant information. It serves as a professional representation of a person’s qualifications, allowing employers to assess their suitability for a particular position.
CV templates are pre-designed formats or layouts that provide a structured framework for organizing and presenting the information in a visually appealing manner. These templates are designed to guide individuals in creating a professional and polished CV that effectively highlights their strengths and experiences. They offer a standardized format, ensuring consistency and coherence across various CVs.
One of the key benefits of using CV templates is the time and effort saved in creating a CV from scratch. Templates provide a ready-to-use framework that individuals can simply fill in with their personal details, eliminating the need to design the entire layout and structure independently. This streamlines the process, allowing individuals to focus on showcasing their qualifications and tailoring the content to match specific job requirements.
What is a Curriculum Vitae?

A curriculum vitae, or CV, is a document that outlines a person’s professional and educational history. It is typically used in academic and research fields, as well as in job applications to government agencies, non-profit organizations, and private companies.
A CV is more detailed and longer than a resume, which is a shorter document that typically only lists work experience and education. A CV includes a summary of an individual’s professional and academic qualifications, as well as research and teaching experience, publications, presentations, awards and honors, and other achievements. It may also include professional licenses or certifications, and any relevant skills or affiliations.
Importance of Writing a Strong Curriculum Vitae
A well-written CV is an important tool for presenting your skills and experience to potential employers and educational institutions, and can help you achieve your career goals.
There are several reasons why it is important to write a strong curriculum vitae (CV):
To stand out from the competition: In a competitive job market, a well-written CV can help you stand out from other candidates and increase your chances of getting an interview or being considered for a position.
To showcase your skills and achievements: A CV provides an opportunity to highlight your skills, experience, and achievements, and to demonstrate how you are qualified for a particular position or program.
To make a good first impression: A CV is often the first point of contact between you and a potential employer or educational institution. It’s important to make a good first impression by presenting a well-written, professional CV.
To demonstrate your professionalism: Submitting a well-written CV demonstrates your professionalism and attention to detail, and can help you stand out as a strong candidate.
To increase your chances of getting a job or acceptance into a program: A strong CV can increase your chances of getting a job or being accepted into a program, as it provides a comprehensive overview of your qualifications and demonstrates your suitability for the opportunity.
Resume vs. Curriculum Vitae: What’s the Difference?
A curriculum vitae (CV) and a resume are both documents that outline a person’s professional and educational history, but there are some key differences between the two.
A CV is typically longer and more detailed than a resume. It includes a comprehensive overview of a person’s professional and academic qualifications, as well as research and teaching experience, publications, presentations, awards and honors, and other achievements. A CV is often used in academic and research fields, as well as in job applications to government agencies, non-profit organizations, and private companies.
A resume, on the other hand, is a shorter document that typically only lists work experience and education. It is often used in job applications to private companies and organizations, and is typically no more than one or two pages in length. A resume is meant to provide a quick overview of a person’s skills and experience, and to demonstrate their suitability for a particular position.
While there is some overlap between the information included in a CV and a resume, the main difference is in the level of detail and the purpose of the document. A CV is a more comprehensive document that is used to apply for academic or research positions, while a resume is a shorter document used to apply for jobs in the private sector.
What to Include in a CV to Impress a Recruiter
To impress your employers with your curriculum vitae (CV), it’s important to include the following elements:
A clear and concise summary or objective statement: This should be a short paragraph at the top of your CV that outlines your career goals and the value you can bring to the position or organization.
A detailed and relevant work experience section: This should include a list of your previous jobs, with a brief description of your responsibilities and achievements in each role. Focus on experience that is relevant to the position or industry you are applying to.
A comprehensive education section: This should include a list of your academic degrees, with the name of the degree, the institution where you earned it, and the year you graduated. You should also include any relevant coursework or certifications.
A list of relevant skills: This should include any technical or specialized skills that are relevant to the position you are applying for.
A list of publications, presentations, and other relevant achievements: If you have published any articles or papers, presented at conferences, or received any awards or honors, be sure to include them in your CV.
Professional memberships or affiliations: If you belong to any professional organizations or associations, be sure to include them in your CV.
Use action verbs: To make your CV more dynamic and engaging, use action verbs to describe your responsibilities and achievements. For example, instead of saying “was responsible for,” use verbs like “managed,” “coordinated,” or “implemented.”
Quantify your achievements: Where possible, use numbers and statistics to quantify your achievements and illustrate the impact of your work. For example, instead of saying “increased sales,” say “increased sales by 25%.”
Use keywords: Many employers use applicant tracking systems (ATS) to scan resumes and CVs for specific keywords. To increase your chances of being noticed, be sure to include relevant keywords in your CV, such as specific skills or technologies you are proficient in.
Customize your CV for each application: It’s important to tailor your CV to fit the specific requirements of the position or organization you are applying to. This means highlighting the skills and experience that are most relevant to the job, and using language and formatting that aligns with the company’s culture and values.
Proofread and edit: Before submitting your CV, be sure to proofread and edit it carefully. A well-written, error-free CV will demonstrate your attention to detail and professionalism.
By following these tips, you can create a strong CV that showcases your skills and experience and impresses your potential employers.
How to Write a CV (Curriculum Vitae)
Sure, here is a detailed guide on how to write a CV:
Begin by considering your audience and the position you are applying for.
A CV should be tailored to the specific job or field you are entering, and should highlight your most relevant experiences and achievements.
Start with your personal information.
This should include your name, contact information (such as your email address and phone number), and a personal statement or objective. The personal statement should be a brief overview of your career goals and the skills and experiences you have that make you a good fit for the position.
Next, list your educational background.
Start with the highest degree you have earned and work backwards. Include the name of the institution, the degree you earned, and any relevant coursework or honors. If you have a degree that is relevant to the position you are applying for, consider including a separate section to highlight your relevant coursework.
In the professional experience section, list any internships or jobs you have held.
For each experience, include the name of the company, your job title, and a brief description of your responsibilities. Use bullet points to make this section easy to read and highlight any notable accomplishments or responsibilities.
If you have any research experience, create a separate section for it.
Include the title of your research, the names of any collaborators, and any publications or presentations you have made. This section is especially important for academic or research-based positions.
You may also want to include a section for awards and honors, professional memberships, and any relevant skills or certifications. This can include language proficiency, computer skills, or other technical abilities that may be relevant to the position.
Finally, proofread your CV for spelling and grammar errors, and make sure it is well-organized and easy to read.
Consider asking a friend or mentor to review it for you as well.
Some additional tips:
Keep your CV concise and to the point. No one wants to read a lengthy, rambling document. Aim for a length of two to three pages, depending on your level of experience.
Use clear, easy-to-read formatting. Use headings and subheadings to help organize your information, and use bullet points to make the document easy to scan.
Use action verbs to describe your responsibilities and achievements. Words like “developed,” “implemented,” and “coordinated” can help to emphasize your contributions.
Be honest and accurate. Don’t stretch the truth or exaggerate your experiences or accomplishments. It’s better to focus on the things you have actually done and achieved rather than trying to make yourself look more impressive than you are.
Customize your CV for each position you apply for. Don’t just send out the same generic CV to every job you apply for. Tailor your CV to the specific position and highlight the skills and experiences that make you the most qualified candidate.
Finally, don’t be afraid to seek help if you need it. Ask a mentor or career counselor to review your CV, or consider using a professional CV writing service.
FAQs
How long should a CV be?
A CV should be long enough to include all relevant information, but not so long that it becomes tedious to read. Generally, two to three pages is a good length for a CV, depending on your level of experience.
Should I use a template for my CV?
It can be helpful to use a template as a starting point for your CV, but be sure to customize it to fit your own experiences and accomplishments. Don’t just use a template without modifying it, as this can make your CV look generic and uninteresting.
How should I format my CV?
Your CV should be well-organized and easy to read. Use headings and subheadings to help organize your information, and use bullet points to make the document easy to scan. Use clear, easy-to-read formatting, and avoid using overly fancy or decorative fonts.
Should I include personal information in my CV?
Yes, you should include your personal information in your CV, including your name, contact information (such as your email address and phone number), and a personal statement or objective.
How do I tailor my CV for a specific position?
To tailor your CV for a specific position, focus on the skills and experiences that make you the most qualified candidate for that position. Consider including a separate section to highlight your relevant coursework or research, and use language from the job description to describe your experiences and accomplishments.
Is it okay to include personal interests in my CV?
It is generally not necessary to include personal interests in your CV, unless they are directly relevant to the position you are applying for. For example, if you are applying for a position in a field related to a personal hobby or interest, it may be appropriate to include it in your CV. However, in most cases it is better to focus on your professional experiences and achievements.
Is it okay to use “I” in my CV?
It is generally not appropriate to use personal pronouns (such as “I” or “my”) in a CV. Instead, use action verbs to describe your responsibilities and achievements, and focus on the things you have done and accomplished.
How do I list my work experience in my CV?
In the work experience section of your CV, list your past jobs in reverse chronological order, starting with the most recent position. For each job, include the name of the company, your job title, and a brief description of your responsibilities. Use bullet points to make this section easy to read and highlight any notable accomplishments or responsibilities.
Should I include references in my CV?
It is not necessary to include references in your CV, but you should have a list of references available upon request. Your references should be people who can speak to your professional abilities and experiences, such as past supervisors, colleagues, or professors.
How do I handle gaps in my employment history in my CV?
If you have gaps in your employment history, it is important to address them in your CV. You can simply include the dates of your employment in the work experience section, or you can provide a brief explanation for any gaps in employment (such as taking time off to travel or care for a family member). It is important to be honest and transparent about any gaps in your employment history.

























































![Free Printable Roommate Agreement Templates [Word, PDF] 1 Roommate Agreement](https://www.typecalendar.com/wp-content/uploads/2023/06/Roommate-Agreement-150x150.jpg)
![Free Printable Credit Card Authorization Form Templates [PDF, Word, Excel] 2 Credit Card Authorization Form](https://www.typecalendar.com/wp-content/uploads/2023/06/Credit-Card-Authorization-Form-150x150.jpg)
![Free Printable Stock Ledger Templates [Excel,PDF, Word] 3 Stock Ledger](https://www.typecalendar.com/wp-content/uploads/2023/08/Stock-Ledger-150x150.jpg)
