A cease and desist letter is defined as a legal document that demands someone to stop an activity or behavior immediately. It’s mainly used to defend the rights of someone else in court. Before we go into the details of this term, it’s important to understand why a cease and desist letter is filed. At times when one wants something but they are unable to get it, they tend to pursue several paths with the hope that they can acquire the thing eventually.
The person may be somebody close to you, like your friend or family member (in case it’s personal) or your business partner/client(if it’s professional). Sometimes this person turns completely irrational and persistently pursues what they want, not caring about their actions and how harmful it is to you. In such situations, one must take necessary actions certainly before it gets out of their control.
The cease and desist letter is usually sent in such conditions to protect one’s interests; a person does not want others to misuse their property and keep pursuing things that do not belong to them and end their unreasonable demands.
Table of Contents
Cease and Desist Letter Templates
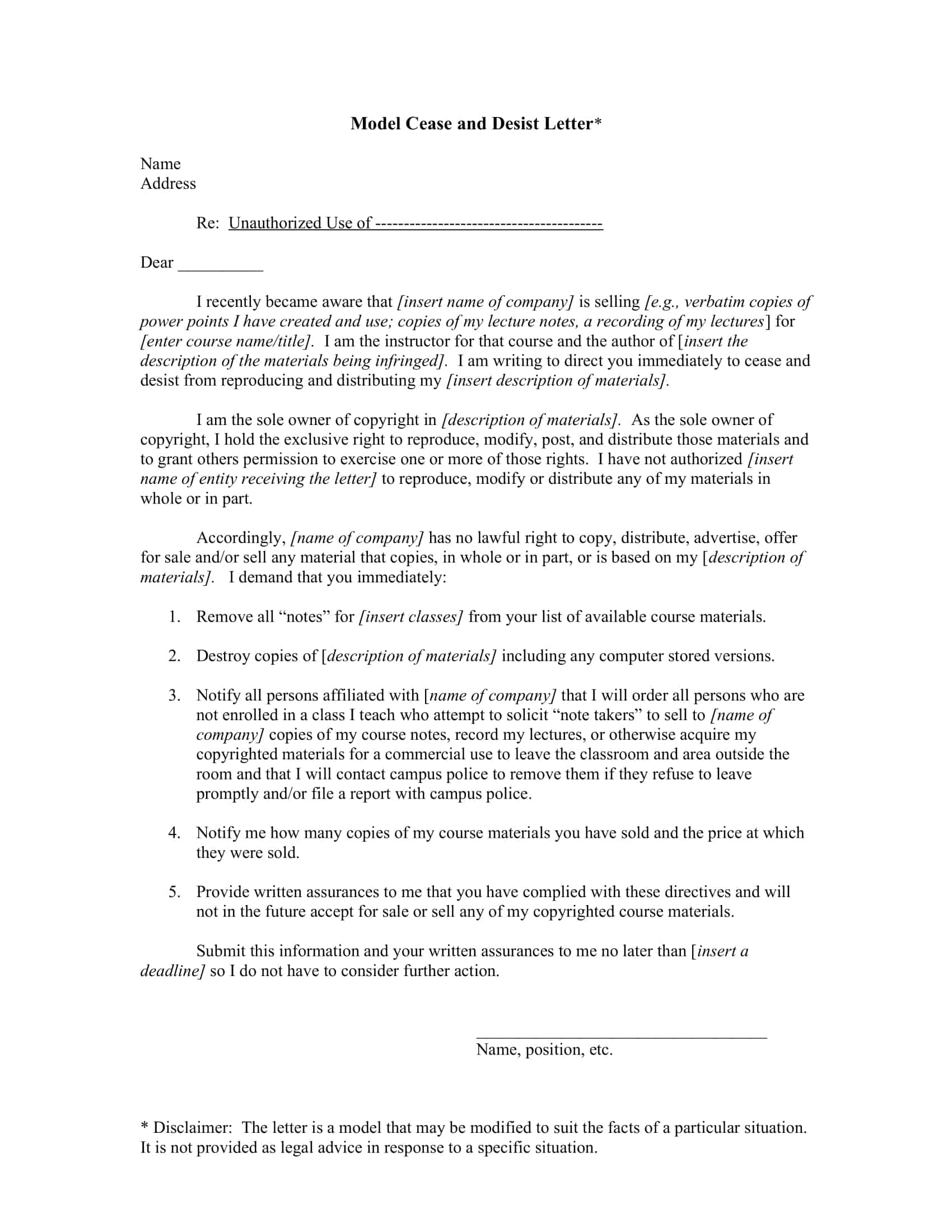
Cease and desist letter templates are pre-designed documents that provide a formal and structured format for sending a legal notice to an individual or entity to stop engaging in specific activities that infringe upon one’s rights. These templates offer a convenient and professional way to assert one’s legal rights, demand compliance, and prevent further unauthorized actions.
Cease and desist letter templates typically include sections that clearly state the sender’s rights, describe the infringing actions or behaviors, demand an immediate cessation of such actions, and warn of potential legal consequences if the recipient fails to comply. They may also provide instructions for the recipient to respond or rectify the situation within a specified timeframe.
Using a cease and desist letter template helps individuals or organizations assert their rights and protect their interests in situations such as copyright infringement, trademark violations, defamation, harassment, or unauthorized use of intellectual property. It provides a documented record of the communication, which can be crucial in potential legal proceedings.
What is a Cease and Desist Letter?

Cease and desist letters are the most commonly used corporate tools to deal with rights violations. Literally, it is a legal order given by the court or government to a business or an individual to halt the illegal activity or unfair practice against someone or something. In layman’s terms, it is a letter threatening legal action if a party continues to act unlawfully. For example, when you send a cease and desist letter concerning infringement of copyright or trademark infringement, it is a specific type of letter.
How effective is a cease and desist letter?
The purpose of a cease and desist letter is to get them to stop the activity without going through the courts. While it doesn’t have a legal effect in and of itself, it’s often an excellent way to begin the process of stopping someone from engaging in an activity that is harming you in some way.
When to Write a Cease and Desist Letter
Harassment
Harassment is a very serious issue, one that shouldn’t be ignored. If you feel people are harassing you and harassing you for your attention in their own ways, then it’s time to send out a cease and desist letter. Cease and desist letters are there to make them realize the seriousness of their actions, not just with words but with action as well. A cease and desist letter should be sent whenever anybody is harassing you in any domain or field. Sending this letter would do them a great deal of good, so make sure it’s done by all means.
Copyright and Trademark Infringements
Copyrights, trademarks, and patents are all forms of intellectual property. When someone uses your protected work without your consent, they breach that right. This breach, called an infringement, may be stopped by sending a cease and desist letter. Cease and desist letters are the first step to recovering losses from an intellectual property holder infringing on your rights.
Slander and Libel
Cease and Desist letters are the demands that are used to stop defamation that is caused by others. It is a letter written to complain about a certain act, statement, or claim. The right way to deal with this is to send a clear cease and desist letter. It could be any type of oral or written disparaging remarks, accusations, or statements that are causing damage to your personality or work. You need to include your genuine reason for sending the letter and substantiate it with accurate data.
Contract Violations
You may or may not be aware of it, but in America, it is very common for some parties to try and interfere in your immediate operational matters. For example, the party you are currently involved in a contract with may try to start other business operations in your area. This can prove a problem for you since this company could be stealing your clients. If that happens to you, it is best to have a cease and desist letter, so if the company does not follow the procedures laid out by the letter, they will get fined or take care of similar legal consequences.
Conclusion
If someone is using your intellectual property without permission (like names, trademarks, or images), you should take action immediately. To save yourself from further loss, download cease and desist letter templates. By sending cease and desist letter, you can stop people from illegal use of your properties and also seize them to a certain extent. Cease and desist letter can be used to inform the infringer that if he does not stop his illegal activities, he will be sued for violation of your rights.
FAQs
How do you write a good cease and desist letter?
An effective cease and desist letter is professional, firm, and detailed. Clearly identify yourself, the party you are contacting, and specifics of the issue. Outline the problematic actions or violations. Demand they immediately stop and provide evidence to confirm. State potential legal action if the behavior continues. Include applicable laws or prior agreements.
What is a cease & desist letter example?
An example is: “This letter is to demand you immediately cease and desist infringing on our trademark by selling counterfeit products using our logo. This directly violates our prior licensing agreement dated DD/MM/YYYY. We will pursue legal remedies if this trademark infringement continues.”
What justifies a cease and desist letter?
Cease and desist letters are justified in response to situations like copyright/trademark infringement, defamation, privacy violations, patent infringement, theft of trade secrets, etc. The letter puts the party formally on notice to stop illegal or unauthorized activities.
Are cease and desist letters serious?
Yes, cease and desist letters are serious legal demands that clearly tell a party to stop specified actions that affect your rights or business. Failure to comply after receiving the letter can potentially be used against them in court. The letter starts a paper trail documenting the issue.































![Free Printable Friendly Letter Templates [PDF, Word, Excel] 1st, 2nd, 4th Grade 1 Friendly Letter](https://www.typecalendar.com/wp-content/uploads/2023/05/Friendly-Letter-150x150.jpg 150w, https://www.typecalendar.com/wp-content/uploads/2023/05/Friendly-Letter-1200x1200.jpg 1200w)
![43+ Printable Leave of Absence Letter (LOA) Templates [PDF, Word] / Free 2 Leave of Absence Letter](https://www.typecalendar.com/wp-content/uploads/2023/01/Leave-of-Absence-Letter-150x150.jpg 150w, https://www.typecalendar.com/wp-content/uploads/2023/01/Leave-of-Absence-Letter-1200x1200.jpg 1200w)
![Free Printable Congratulation Letter Templates [PDF, Word] Examples 3 Congratulation Letter](https://www.typecalendar.com/wp-content/uploads/2023/05/Congratulation-Letter-150x150.jpg 150w, https://www.typecalendar.com/wp-content/uploads/2023/05/Congratulation-Letter-1200x1200.jpg 1200w)
