No one wants to be terminated for “No Call/No Show,” but when absences are consecutive, HR must follow a clear, auditable, and legally sound process. This is where a Job Abandonment Letter helps: it provides a reasonable return to work window, documents attempted contact methods, and issues a clear final notice that job abandonment may result in termination. This way, the decision is based on documentation, not hearsay. TypeCalendar offers 45+ Job Abandonment Letter templates with sample wording customized for different scenarios and available as individual downloads.
Table of Contents
What Does a Job Abandonment Letter Do?

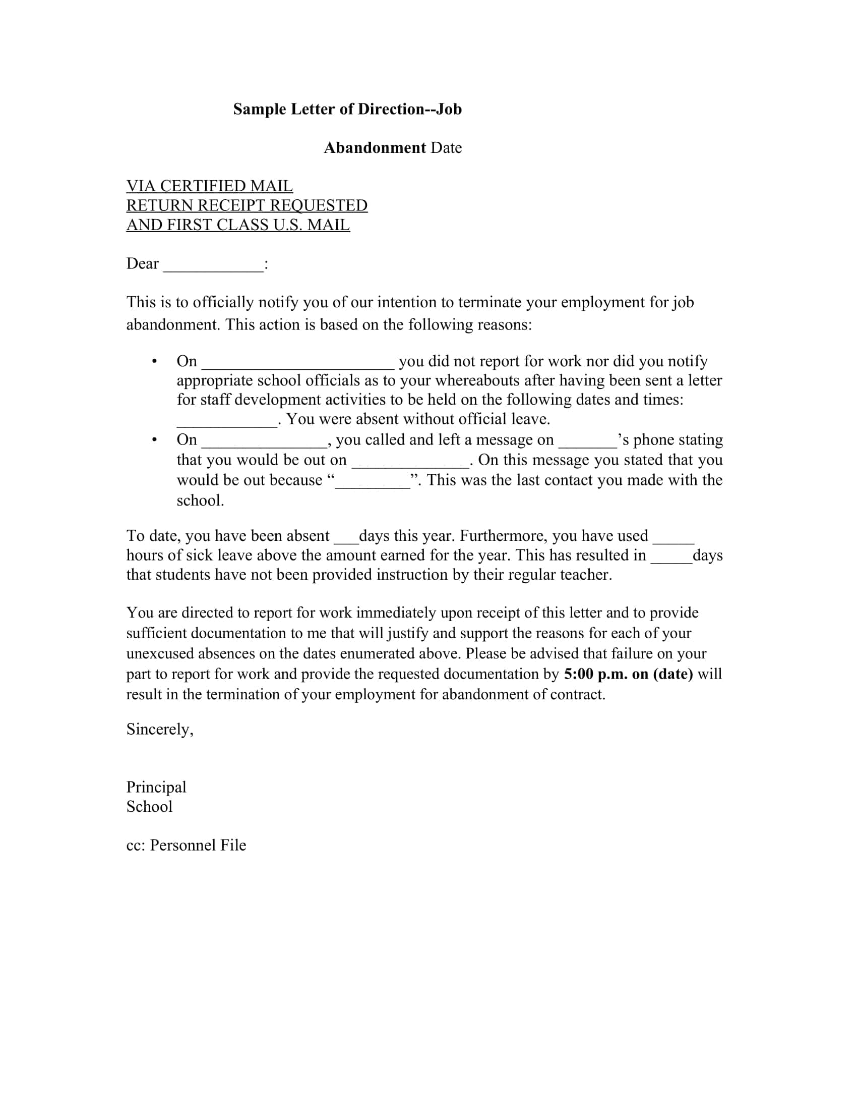
This is not a disciplinary action form; it is an evidence-based notice and final call. The last day worked (LDW), the number of missed shifts/days, the attempted contact channels, and timestamps are captured in a single paragraph. Then the response deadline (e.g. 48–72 hours) is given clearly, the return to work path (“return-to-work appointment” or “manager check-in”) is written and it is clearly stated that if the conditions are not met, the job abandonment termination letter process will be initiated. It’s not “we heard they weren’t coming” the chronology and documentation speak for themselves.
When to Use It and For Whom?
Thresholds vary from organization to organization: in retail, three consecutive shifts, in the office, two business days, and for remote/hybrid roles, unanswered calls within certain time windows. In unionized structures, language consistent with collective bargaining is required; the window during the probationary period may be shortened; and in safety-sensitive roles (production, health), an emphasis on safety and team continuity is added to the reporting tone. Our templates for intern, part-time, seasonal and contractor scenarios include role-based placeholders, with HR pulling the appropriate text from the same library for different groups.
Inside TypeCalendar’s 45+ Job Abandonment Letter Library
The collection includes context-specific files such as hourly/salaried, union/non-union, remote/on-site, probationary, seasonal, healthcare/retail/manufacturing. The ”well-being first” language has smoother openings, compliance accent versions in operation-intensive environments, multilingual short versions for multiple locations, as well as manager talking points (a 2-paragraph conversation guide for the manager). Each file has an example text next to it; the line-by-line filled example allows you to quickly adapt your own letter.
Anatomy of an Effective Job Abandonment Letter
The value comes from structure, not style. Our templates use the following sequence:
- Context: Position, location/remote, last working day.
- Timeline: missed days/shifts; email/phone/chat contact attempts; timestamps.Policy reference: Item and threshold in employee handbook.
- Invitation: Contact person, channel and scheduled appointment.
- Conclusion: If no response is received, the record will be processed as job abandonment; equipment return, final pay/benefit statement, rehire eligibility note.
- Respectful close: keep channels open for objections and accommodation (EAP, HR help desk, ADA interactive-process/LOA forms).
File Types for Common Search Intents
User intent is clear in searches: “Job Abandonment Letter template word”, “job abandonment termination letter pdf”, “sample job abandonment letter to employee”, etc. So we designed the flow accordingly:
DOCX/Google Docs: header, subject line, chronology tables, and signature blocks are style-linked; populate HRIS data (name, LDW, department) via mail-merge in one click.
Fillable PDF: locked appearance with e-signature lines; uploads cleanly to portals.
Slides (PPTX/Google Slides): Summary slide for management approval; event chart + recommended decision + risk notes.
Email texts & short notification templates: Email/SMS adaptation of the same language; consistency across channels.
Download, Personalize, and Make the Process Transparent
Prolonging the uncertainty is the most expensive option. Select the file that fits your context from TypeCalendar’s 45+ Job Abandonment Letter set; enter the chronology, set the response window, and send with an e-signature. If the employee returns, it’s planned; otherwise, the record supports a documented, compliant job abandonment termination step. Make the decision with documentation not instinct. Download today and manage the process with a clear record.















































