Students of the 21st century have many problems to deal with. One of them is essay writing. Nowadays, students are given essay-writing assignments commonly. Also, they have become an essential part of standardized tests. Not only this, but essay writing has also become mandatory and a requirement for college applications. Consequently, it has become a critical part of students for academic success.

While writing an essay outline, you need to understand some basic things. First of all, it is important to understand that taking help from the essay outline templates available online can help a lot in writing an effective outline.
One can use its features to compose a detailed outline and plan their points properly. We have different types of essay outlines available on our main website. You can choose from any one of them. Use them to practice and write on your own.
Table of Contents
Essay Outline Templates
Essay outline templates are pre-structured guides designed to assist writers in organizing their thoughts, research, and ideas into a well-structured format. The outline serves as a framework that enables the writer to arrange their arguments and ideas coherently, with an introduction, main body, and conclusion.
It helps writers stay focused and on track while composing their essay, ensuring that they do not deviate from the main topic. Essay outline templates also help students and writers save time by providing them with a ready-made structure to follow, and it allows them to concentrate on the quality of their writing.
Essay Sections and Structure
Regardless of the subject and type of writing, the essays generally have an outline. When talking about English composition writing techniques, three main paragraphs are mentioned. The lengths of these paragraphs vary according to the topics covered:
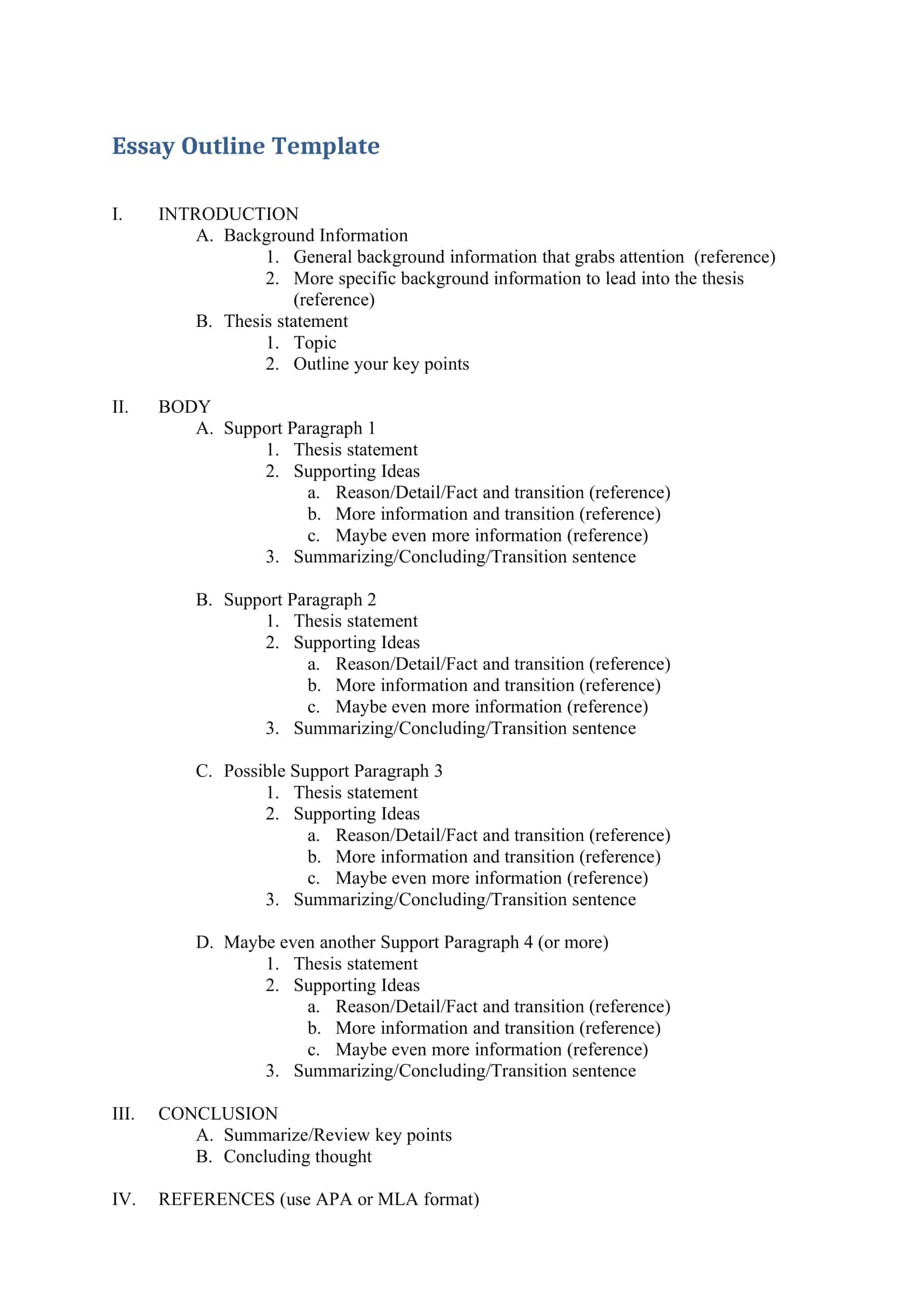
Introduction paragraph: This paragraph introduces the subject. The introductory paragraphs include a sentence called the thesis statement, which states our opinion on the subject. This section usually consists of a single paragraph, so the reader prepares for the idea.
Developmental paragraphs: The part where all the arguments about the subject are given in general, and the subject is discussed in depth is the development paragraph. According to the text created by adhering to the draft of the article, it varies between 1-3 paragraphs, depending on the length of the examples mentioned.
Concluding paragraph (Conclusion): As the name suggests, this paragraph, which represents the last part of the article, should summarize the whole subject and usually consists of a single paragraph.
How to Write an Essay Outline?
One of the most important steps in writing an essay is to create an outline for that Essay. It is very important that you fully understand the essay’s subject before creating a draft. An essay can be expressed and thought through effectively, but it will be considered an ineffective text if it does not adequately answer the subject. While creating a draft for the essay you will write, it will be of great convenience for you to consider the following issues:
- What is the subject of the Essay?
- What is the word volume of Your Essay?
- What kind of research do you need to do to fully understand the topic?
After these stages, you have completed the first step of creating a draft for your Essay. The next step is to define a thesis statement that will guide your entire text. You can determine how your paper should progress and what information you want to include based on the thesis statement.
So, what is the topic you will cover in your Essay? Your thesis statement should be short but should include all the main lines of the topic you want to cover in your text. While writing your article, constantly look at your thesis statement and take care not to deviate from the main lines of the subject.
After creating the draft, you can start writing your text. In general, everyone starts writing an essay from the introduction paragraph. When writing an essay, starting with the opening paragraph is one of most people’s biggest mistakes. It will be a great advantage for you to start writing your Essay from the body paragraph. If you want your text to be fluent, you should write the introductory paragraph later. This way, you can fully formulate your thoughts and ideas and go back and integrate the main ideas with your introductory paragraph.
Types of Essay Outlines
- Argumentative Essay
In this type of article, you should defend your personal opinions on a specific topic and your reasons. In this type, you are given a specific topic or question and asked to write an article in which you defend your opinion.
- Compare and Contrast Essay
In this type of article, you are asked to write an article comparing two or more facts to be given to you. The similar aspects of both phenomena, their opposites, the points where they are better or worse than each other, and the subject headings that form the main lines of this article should be clear.
- Cause and Effect Essay
In this article, you are asked to discuss the causes and consequences of a phenomenon of this type and to present the reasons. For example, when a question such as “What should we do to protect endangered animals” is given, we should first talk about the extinct animals, discuss why they became extinct, and discuss the causes and consequences.
- Opinion Essay
To be successful in this type of article, you need to start by succinctly expressing your opinion from the beginning. After expressing your views clearly in the introductory paragraph, you should mention the reasons for your defense of this idea in the development section, give answers to possible defenses against this idea, and in the conclusion section, you should state your opinion by briefly repeating what you discussed.
- Advantage and Disadvantage Essay
In this type of article, you are asked to discuss the benefits and harms by discussing the positive and negative aspects of a certain topic. In such questions, presenting the benefits and harms in separate paragraphs, comparing them with each other in a third paragraph, and reaching a positive or negative conclusion about the topic will help you produce a regular and systematic article.
- Problem Solution Essay
In this type of article, you are asked to come up with a solution to a problem that occupies the agenda. For example: ‘How can we stop global warming?’ After a short evaluation of the causes and consequences of this problem, you can create a successful article by suggesting a solution to the subject.
- Process Essay
In this type of writing, you are expected to write an article that describes the stages of a certain event or a situation that developed in a certain period. For example, “How to make a cake.” Here, you are expected to express the process chronologically and comprehensively.
Conclusion
To write a better English Essay; You can create a skeleton that includes the outline of your article called “Outline” and gives brief information about your paragraphs, ask yourself questions like a reporter, and avoid typing the same words frequently by creating a word bank, use English conjunctions between sentences, read backward and review the semantic integrity of the article. You can pay attention to grammatical order and get an outside opinion.
FAQs
How do you outline a college essay?
For a college essay outline, list experiences that convey your personality, values, and goals. Organize chronologically or by importance. Write key points for each experience. Outline any links between experiences. Close with plans for college and the future.
How do I write an outline for an essay?
Start with your thesis statement or main argument. List 3-5 major points to support it. Under each point, write 2-3 sub-points with supporting details/examples. Organize points logically. This creates a framework to build your essay around.
Should I include counterarguments in my essay outline?
Yes, addressing counterarguments shows you have considered alternative perspectives. Add a section to briefly acknowledge and refute counterclaims. This strengthens your own position.
What is the most important part of an essay outline?
The thesis statement is the most critical part of an outline. It conveys the main argument and provides focus for the entire essay. Body paragraphs should directly tie back to supporting the thesis.
What makes a strong essay outline?
A strong outline organizes ideas logically using topic sentences and transitions. It includes detailed supporting evidence and analysis. A strong outline allows you to write efficiently while staying focused. Review it to ensure ideas flow and build upon each other.
How do you outline a college essay?
For a college essay outline, list experiences that convey your personality, values, and goals. Organize chronologically or by importance. Write key points for each experience. Outline any links between experiences. Close with plans for college and the future.
Who can help outline and write my essay?
If you are looking for someone to assist you in writing an essay outline, there is a great solution to get it written from scratch by experts from custom writing services.
What is the standard 5 paragraph essay outline format?
A 5 paragraph essay outline has 3 body paragraphs. The format is:
- Introduction with thesis statement
- Body para 1 with main point 1
- Body para 2 with main point 2
- Body para 3 with main point 3
- Conclusion summarizing main points
What is the template for essay?
A basic essay template has:
- Introduction: Hook, background info, thesis
- Body para 1: Topic sentence, evidence, analysis
- Body para 2: Topic sentence, evidence, analysis
- Body para 3: Topic sentence, evidence, analysis
- Conclusion: Restate thesis, summarize main points





































![Free Printable Roommate Agreement Templates [Word, PDF] 1 Roommate Agreement](https://www.typecalendar.com/wp-content/uploads/2023/06/Roommate-Agreement-150x150.jpg)
![Free Printable Credit Card Authorization Form Templates [PDF, Word, Excel] 2 Credit Card Authorization Form](https://www.typecalendar.com/wp-content/uploads/2023/06/Credit-Card-Authorization-Form-150x150.jpg)
![Free Printable Stock Ledger Templates [Excel,PDF, Word] 3 Stock Ledger](https://www.typecalendar.com/wp-content/uploads/2023/08/Stock-Ledger-150x150.jpg)

You’re doing a fantastic process Man, Keep it up.