A Profit Sharing Agreement is a legal document that outlines the terms and conditions of a profit sharing arrangement between a company and its employees. This agreement specifies how profits generated by the company will be distributed among its employees, including the allocation of shares, distribution schedules, and conditions for eligibility.
Profit Sharing Agreements are commonly used as a way to incentivize and reward employees for their contributions to the success of the company, providing a sense of ownership and increasing motivation. An effective Profit Sharing Agreement should clearly define the rights and responsibilities of both the company and its employees, ensuring that the profit sharing arrangement operates smoothly and fairly.
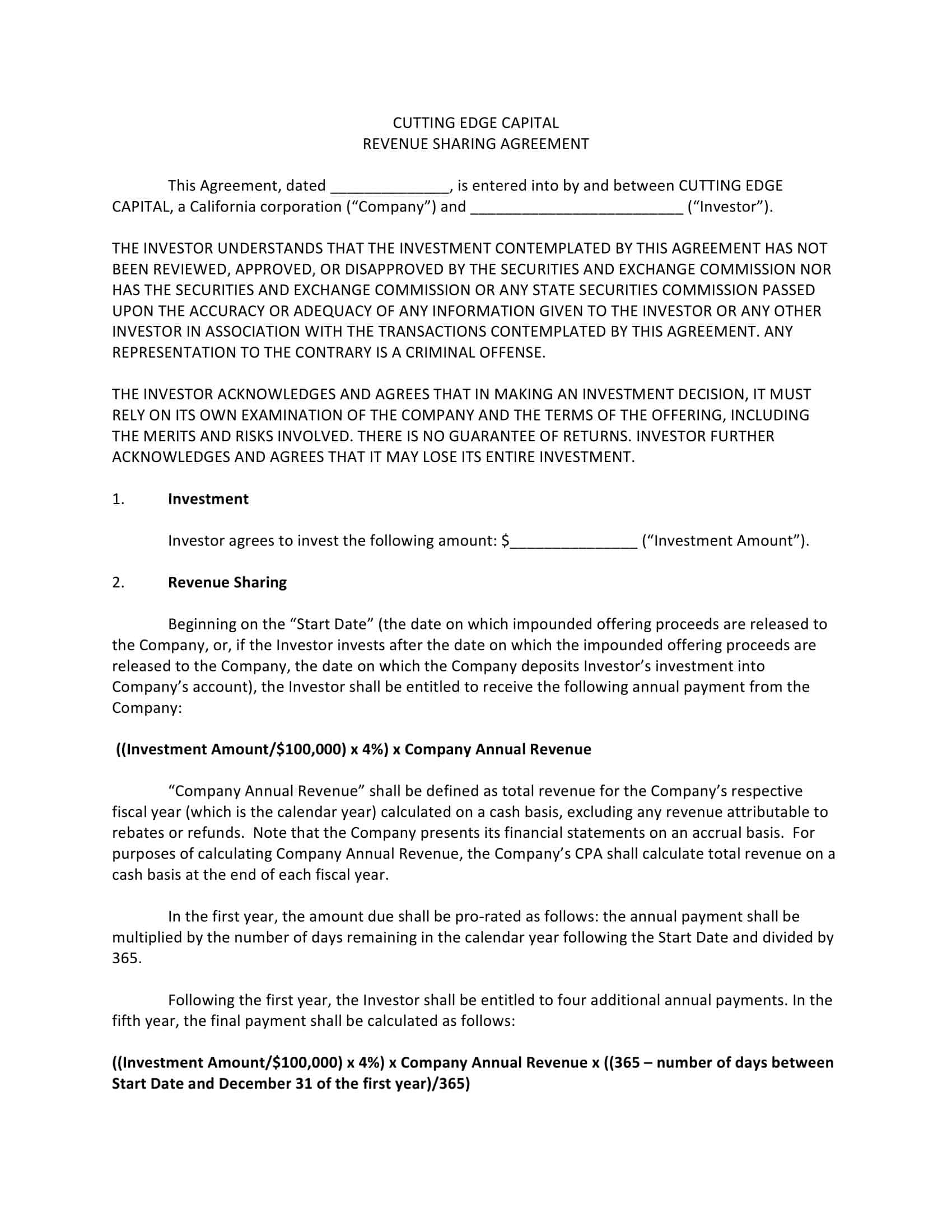
Table of Contents
When Is a Profit Sharing Agreement Used?

A Profit Sharing Agreement is used when a company wants to establish a profit sharing arrangement with its employees. This can be done in order to incentivize employees and increase their motivation, or as a way to reward employees for their contributions to the company’s success.
The agreement outlines the terms and conditions of the profit sharing arrangement, including the allocation of shares, distribution schedules, and eligibility criteria. Profit Sharing Agreements are typically used by businesses of all sizes and industries, and can be an effective way to promote a sense of ownership and shared success among employees.
Profit Sharing Agreement Templates
“Profit Sharing Agreement Templates” are pre-designed legal documents that provide a structured framework for businesses or partnerships to establish the terms and conditions of profit sharing among stakeholders. These templates serve as valuable tools for companies, joint ventures, or collaborations to define how profits will be distributed among the involved parties and ensure transparency and fairness in profit-sharing arrangements.
A profit sharing agreement is a contractual arrangement that outlines how profits will be distributed among the parties involved. Profit sharing agreement templates offer a standardized format that covers essential elements such as the distribution percentages, calculation methodology, timing of payments, and any conditions or restrictions associated with profit sharing.
By utilizing profit sharing agreement templates, businesses can establish clear guidelines for profit allocation, aligning the interests of all parties involved and fostering a cooperative and mutually beneficial environment. These templates guide businesses in addressing profit distribution, capital contributions, tax implications, dispute resolution, and other key considerations.
What does a Profit Sharing Agreement include?
A Profit Sharing Agreement typically includes the following elements:
Definition of the profit sharing plan: A clear definition of the profit sharing plan and its purpose.
Eligibility criteria: Who is eligible to participate in the profit sharing plan, such as employees or a certain group of employees.
Contribution and allocation formula: How profits will be shared, including the formula for determining the allocation of profits to eligible participants.
Vesting schedule: The schedule for when participants will vest, or become entitled to, their profit sharing contributions.
Distributions: How and when profit sharing contributions will be distributed to participants, such as upon retirement or termination of employment.
Plan administration: The responsibilities of the plan administrator and any outside service providers.
Plan amendments and terminations: The procedures for amending or terminating the profit sharing plan.
Reporting and disclosure requirements: The requirement to provide periodic statements or other disclosures to participants, and the information that must be included.
- Note: The specific elements of a profit sharing agreement can vary, and it is important to consult with legal and financial professionals to ensure compliance with applicable laws and regulations.
When is a Profit Sharing Agreement needed?
A Profit Sharing Agreement is needed when multiple parties have an interest in the profits generated by a business or project and want to define the terms and conditions for how those profits will be shared and distributed.
This agreement can be used in various scenarios such as partnerships, joint ventures, and limited liability companies. The agreement can help to ensure that all parties involved understand their respective rights and obligations and can provide a clear framework for resolving disputes.
What is the average profit sharing ratio?
There is no set or typical profit sharing percentage, as the amount of profit to be shared and the percentage that each party will receive can vary greatly depending on a number of factors such as the terms of the agreement, the contributions of each party, the industry, and the specific project or business.
For example, consider a partnership between two individuals who are starting a new business together. They might agree to split the profits equally, with each party receiving 50% of the profits. Alternatively, they might agree that one partner will receive a larger percentage, say 60%, because they are providing a significant amount of the start-up capital for the business, while the other partner will receive 40% because they are responsible for day-to-day operations.
In another example, a profit sharing agreement might be established in a joint venture between two companies. In this case, the percentage of profit shared might be determined by the relative contributions of each company to the joint venture.
For instance, if one company provides a key technology or intellectual property and the other company provides manufacturing capabilities, they might agree that the company that provides the technology will receive a larger share of the profits, perhaps 60%, while the manufacturing company will receive 40%.
In conclusion, the percentage of profit to be shared can vary greatly depending on the specific circumstances and the agreement reached between the parties involved.
Types of Profit Sharing
There are several types of profit-sharing plans, including:
Traditional Profit-Sharing Plan: This is the most basic type of profit-sharing plan, where the employer contributes a set percentage of the company’s profits to the plan.
Age-Weighted Profit-Sharing Plan: This type of plan takes into account the age of the employee and allocates a higher percentage of the profit to older employees, who are closer to retirement.
New Comparability Profit-Sharing Plan: This type of plan allows the employer to allocate contributions in a manner that benefits certain groups of employees, such as executives or key employees.
ESOP (Employee Stock Ownership Plan): An ESOP is a type of profit-sharing plan that invests primarily in the employer’s stock.
Cash Balance Plan: This type of plan is similar to a traditional pension plan and credits each employee with a hypothetical account balance, rather than allocating a specific percentage of profits.
Combined Plan: This type of plan combines features of both profit-sharing plans and defined benefit plans to provide a mix of benefits to employees.
How to Split Profits in Business
Profit sharing can be split in various ways, based on the company’s goals, policies, and agreements between stakeholders. Some common methods include:
Percentage of profit: A fixed percentage of the profit is assigned to each stakeholder, based on their contribution, seniority, or agreement.
Points system: A point-based system assigns points to different contributions, and the profit is divided based on the total number of points each stakeholder has accumulated.
Performance-based: The profit is divided based on individual or team performance, as determined by key performance indicators (KPIs).
Seniority-based: The profit is divided based on the length of time a person has been with the company.
Equal sharing: The profit is divided equally among all stakeholders.
In addition to the above methods, here are some other factors to consider when splitting profit sharing:
Company size: The method of profit sharing may vary based on the size of the company, as smaller companies may opt for simpler methods, while larger ones may choose more complex systems to better reflect the contributions of multiple stakeholders.
Industry: Different industries may have different norms for profit sharing, and it’s important to take these into account when designing a plan.
Tax implications: Different methods of profit sharing may have different tax implications, so it’s important to understand the tax implications of each method and choose one that is both fair and tax-efficient.
Employee motivation: The profit-sharing plan should not only be fair but also motivate employees to work hard and contribute to the success of the company.
Flexibility: The profit-sharing plan should be flexible enough to accommodate changes in the company’s goals, strategies, and financial performance.
Profit-Sharing Plan vs. 401(k)
A Profit-Sharing Plan and a 401(k) are both retirement savings plans offered by employers to their employees.
A Profit-Sharing Plan is a type of defined contribution plan that allows an employer to contribute a portion of the company’s profits to its employees’ retirement accounts. The amount of the contribution varies from year to year, depending on the company’s profitability.
A 401(k) plan is a type of defined contribution plan where employees can make pre-tax contributions from their paychecks to their own individual retirement accounts. Employers may also choose to make matching or non-elective contributions.
Both plans offer tax advantages for contributions and potential growth, but there are some differences, such as contribution limits, loan options, and vesting schedules. It is important to carefully review the specific features and terms of each plan to determine which is best for you.
Drafting a Profit-Sharing Agreement
Drafting a profit-sharing agreement is a complex process that requires careful consideration of several important factors. Here is a step-by-step guide to help you draft a comprehensive and effective profit-sharing agreement:
Step 1: Determine the Purpose of the Agreement
Before you begin drafting the agreement, it is important to determine the purpose of the agreement and what you hope to achieve through it. Consider the specific goals and objectives you have for the profit-sharing plan, such as providing a retirement benefit for employees or incentivizing employees to work towards the success of the company.
Step 2: Identify the Participants
Next, identify the participants in the profit-sharing plan. This includes the employees who will be eligible to participate and the employer who will be making contributions to the plan. It is important to determine who is eligible to participate, as well as any specific conditions or restrictions that apply.
Step 3: Determine the Contribution Amount
Determine the amount of contributions that will be made to the plan by the employer. This could be a fixed dollar amount, a percentage of profits, or a combination of both. Consider the current financial position of the company, as well as the goals and objectives of the profit-sharing plan, when determining the contribution amount.
Step 4: Choose a Plan Administrator
A plan administrator is responsible for overseeing the day-to-day operations of the profit-sharing plan, including managing contributions, maintaining records, and ensuring compliance with applicable laws and regulations. Choose a plan administrator who is knowledgeable about profit-sharing plans and has experience in managing similar plans.
Step 5: Determine the Vesting Schedule
Vesting refers to the length of time that an employee must work for the company before they are entitled to keep their profit-sharing contributions. Determine the vesting schedule that will apply to the profit-sharing plan, and consider whether the vesting schedule should be based on years of service or some other criteria.
Step 6: Define Investment Options
Determine the investment options that will be available to employees under the profit-sharing plan. This could include a range of investment options, such as stocks, bonds, mutual funds, or other types of investments. Consider the investment goals and objectives of the plan and the needs and preferences of the participants when choosing the investment options.
Step 7: Establish Distribution Rules
Establish the rules for distributing the profit-sharing contributions to participants. This could include a range of distribution options, such as lump-sum payments, periodic payments, or a combination of both. Consider the goals and objectives of the plan, as well as the needs and preferences of the participants, when establishing the distribution rules.
Step 8: Draft the Agreement
Once you have completed the above steps, it is time to draft the actual profit-sharing agreement. Be sure to include all relevant information, such as the purpose of the agreement, the participants, the contribution amount, the plan administrator, the vesting schedule, the investment options, and the distribution rules.
Step 9: Review and Revise the Agreement
Before finalizing the agreement, it is important to carefully review it and make any necessary revisions. Consider having the agreement reviewed by an attorney or financial advisor to ensure that it is comprehensive and effective.
Step 10: Implement the Agreement
Once the agreement has been finalized, it is time to implement it. This includes setting up the plan, enrolling participants, making contributions, and following all applicable laws and regulations.
Step 11: Regularly Review and Update the Agreement
It is important to regularly review and update the profit-sharing agreement to ensure that it continues to meet the needs and goals of the participants and the company. This could involve making changes to the contribution amount, investment options, distribution rules, or other provisions of the agreement as necessary.
Step 12: Comply with Applicable Laws and Regulations
Profit-sharing plans are subject to a number of laws and regulations, including those under the Employee Retirement Income Security Act (ERISA) and the Internal Revenue Code (IRC). It is important to ensure that the profit-sharing agreement and its administration comply with all applicable laws and regulations.
Step 13: Provide Employee Communication and Education
Providing clear and effective communication and education to employees is an important aspect of a successful profit-sharing plan. This could include regular updates on the plan, investment options, and distribution rules, as well as providing employees with the resources and information they need to make informed decisions about their investments.
Step 14: Hire Professional Advisors
Consider hiring professional advisors, such as attorneys or financial advisors, to assist with the administration and management of the profit-sharing plan. These advisors can help ensure that the plan is in compliance with applicable laws and regulations and can provide valuable guidance on investment and distribution decisions.
FAQs
Who is eligible to participate in a profit-sharing plan?
The eligibility criteria for participating in a profit-sharing plan are specified in the profit-sharing agreement. This typically includes information about the type of employees who are eligible to participate, such as full-time employees, part-time employees, or employees in a specific department or job function.
How are contributions made to a profit-sharing plan?
Contributions to a profit-sharing plan are typically made by the employer, and the contribution amount is specified in the profit-sharing agreement. This could be a fixed dollar amount, a percentage of profits, or a combination of both.
What is the role of a plan administrator in a profit-sharing plan?
A plan administrator is responsible for overseeing the day-to-day operations of the profit-sharing plan, including managing contributions, maintaining records, and ensuring compliance with applicable laws and regulations. The plan administrator is typically chosen by the employer and is specified in the profit-sharing agreement.
What is vesting in a profit-sharing plan?
Vesting refers to the length of time that an employee must work for the company before they are entitled to keep their profit-sharing contributions. The vesting schedule is specified in the profit-sharing agreement, and could be based on years of service or some other criteria.
What are the investment options available in a profit-sharing plan?
The investment options available in a profit-sharing plan are specified in the profit-sharing agreement. This could include a range of investment options, such as stocks, bonds, mutual funds, or other types of investments.
How are profit-sharing contributions distributed to participants?
The rules for distributing the profit-sharing contributions to participants are specified in the profit-sharing agreement. This could include a range of distribution options, such as lump-sum payments, periodic payments, or a combination of both.
Are profit-sharing plans subject to any laws or regulations?
Yes, profit-sharing plans are subject to a number of laws and regulations, including those under the Employee Retirement Income Security Act (ERISA) and the Internal Revenue Code (IRC). It is important to ensure that the profit-sharing agreement and its administration comply with all applicable laws and regulations.
How should a profit-sharing plan be communicated to employees?
Providing clear and effective communication and education to employees is an important aspect of a successful profit-sharing plan. This could include regular updates on the plan, investment options, and distribution rules, as well as providing employees with the resources and information they need to make informed decisions about their investments.
Can a profit-sharing agreement be changed or terminated?
Yes, a profit-sharing agreement can be changed or terminated, but this typically requires the consent of the participants and the employer. Changes to the agreement may be necessary to reflect changes in the business or the goals of the plan, or to comply with changes in laws and regulations. If a profit-sharing plan is terminated, the distribution of the contributions to the participants is typically governed by the terms of the agreement.
Are profit-sharing contributions tax-deductible for the employer?
Yes, contributions to a profit-sharing plan are typically tax-deductible for the employer, subject to certain limits. The tax treatment of contributions and distributions from a profit-sharing plan is governed by the Internal Revenue Code (IRC).
What are the benefits of a profit-sharing plan for employees?
The benefits of a profit-sharing plan for employees can include increased retirement savings, investment growth opportunities, and the potential for a larger retirement benefit. Participating in a profit-sharing plan can also provide employees with a sense of financial security and stability in retirement.
What are the benefits of a profit-sharing plan for the employer?
The benefits of a profit-sharing plan for the employer can include attracting and retaining high-quality employees, improving employee morale and engagement, and potentially reducing turnover. A profit-sharing plan can also help to align the goals of the employer and the employees, and provide a mechanism for sharing the benefits of business success.
Are there any disadvantages of a profit-sharing plan for the employer?
Some potential disadvantages of a profit-sharing plan for the employer include the cost of contributions, the administrative burden of managing the plan, and the risk of legal liability if the plan is not administered correctly. Additionally, if the business experiences a downturn or a reduction in profits, the employer may not be able to make contributions to the plan as planned.






































![%100 Free Hoodie Templates [Printable] +PDF 1 Hoodie Template](https://www.typecalendar.com/wp-content/uploads/2023/05/Hoodie-Template-1-150x150.jpg)
![Free Printable Food Diary Templates [Word, Excel, PDF] 2 Food Diary](https://www.typecalendar.com/wp-content/uploads/2023/05/Food-Diary-1-150x150.jpg 150w, https://www.typecalendar.com/wp-content/uploads/2023/05/Food-Diary-1-1200x1200.jpg 1200w)
![Free Printable Roommate Agreement Templates [Word, PDF] 3 Roommate Agreement](https://www.typecalendar.com/wp-content/uploads/2023/06/Roommate-Agreement-150x150.jpg)
