Job application letters are your best shot at getting an interview call. But what matters most is the content of a job application letter and how you present it. If you have applied for a dozen jobs, only to find yourself rejected, then surely it cannot just be your qualifications that lack in effectiveness. Something is amiss, and you must be able to identify it before it’s too late.
Table of Contents
What is a letter of application?

A letter of application is a job-seeking tool that can help you land an interview. It comprises three parts: an introduction, the body, and a closing. You also need to include a reference or two if the company requests.
The introduction states your name and address, explains why you’re writing, and provides any other relevant information about yourself. For example, if you’re applying for a job opening at a certain company and want them to know it’s not just a form letter, mention this in your introduction.
The body contains paragraphs describing your education, experience, and skills related to the job opening. Use this section to highlight how you match up with the job description. The more specific you can be here, the better. If there aren’t any skills listed in the description, but you have them anyway, ensure they’re included in this section.
The closing is where you thank the person reading your letter for their time and attention before asking them to contact you regarding the next steps (such as scheduling an interview).
Letter of Application Templates
Letter of Application Templates are pre-designed formats used by job seekers to apply for employment opportunities. These templates provide a structured framework for composing a professional and persuasive letter that introduces the applicant, highlights their qualifications, and expresses their interest in a specific job position. Letter of Application Templates ensure consistency, professionalism, and clarity in presenting an applicant’s skills, experiences, and motivations, enhancing their chances of securing an interview and advancing in the hiring process.
Letter of Application Templates serve as valuable tools for job seekers in presenting themselves effectively and professionally to potential employers. By using these templates, applicants can ensure consistency, conciseness, and clarity in their application letters. These templates facilitate the inclusion of relevant information, emphasize the applicant’s qualifications, and create a positive impression on employers. Letter of Application Templates are widely used across various industries and job positions, enabling applicants to effectively convey their interest, qualifications, and suitability for the desired job opportunity.
What are the tips for writing an application letter?
Here are some practical tips that will help you write a strong letter of application:
- Be confident in your letter and ensure your tone is right. Be positive but not arrogant or over-confident about yourself. Remember that the person reading your application will be looking for reasons to remove you from the list of applicants.
- Don’t use jargon or unnecessary technical words in your application letter. In fact, avoid using unnecessary words because they will make it harder for the reader to understand what you are saying, and this can cost you the job.
- Make sure that each sentence has a purpose and follows logically from the previous sentence. Ideally, there should be one main idea per paragraph with supporting details afterward so everything is clear and consistent in your writing style.
- Keep the length of your letter short but make sure that all relevant information is included in it (such as qualifications and experience). If there are any gaps in your history, explain them briefly without going into too much detail.
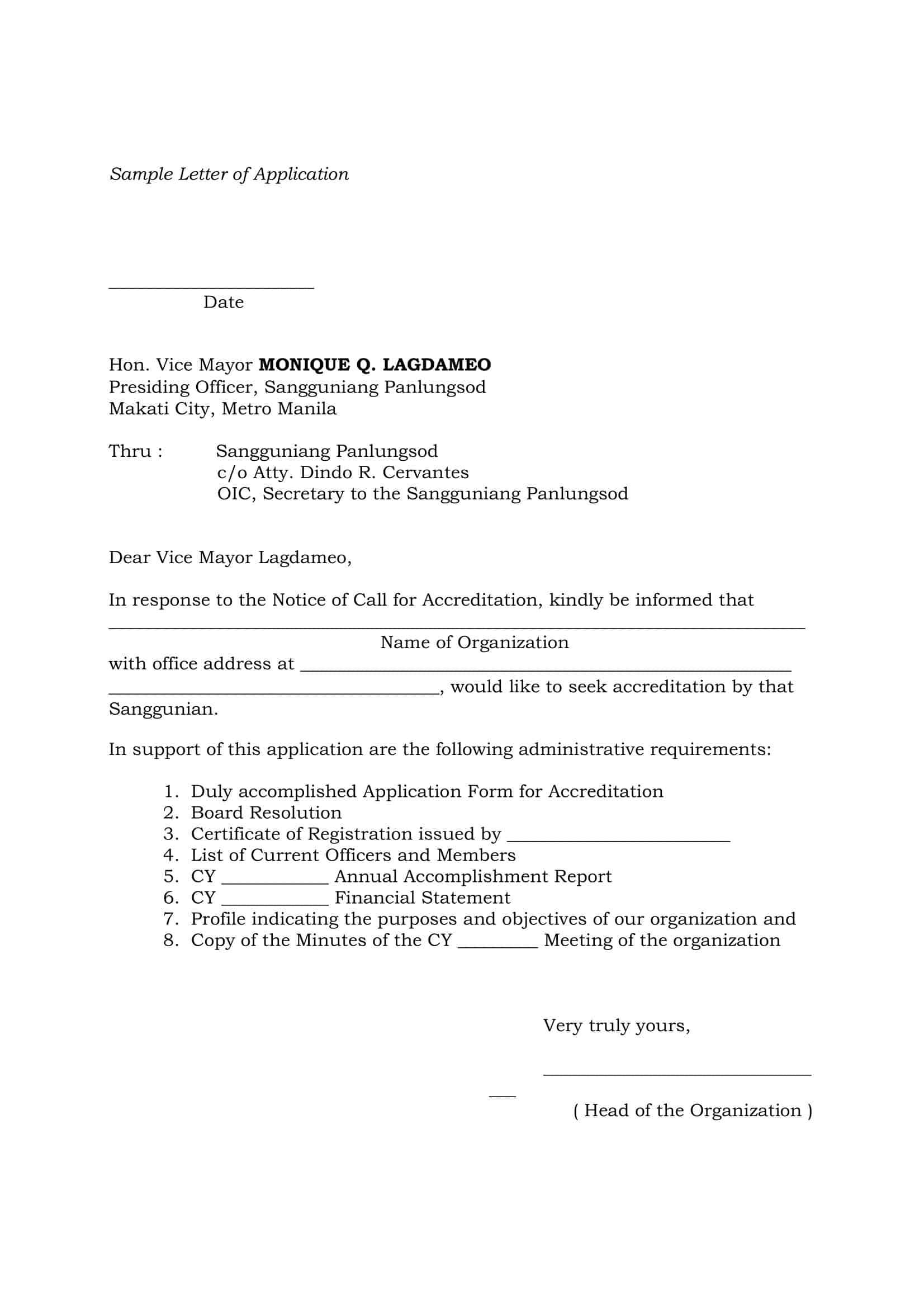
Letter Of Application Sample
Dear Sir or Madam:
I am writing to apply for the position of ____ at your company. I recently graduated from _____ with a bachelor’s degree in ____ and am seeking an entry-level job in the field. My experience and training have prepared me well for this opportunity, and my skills would be an asset to your organization.
I have developed strong professional relationships with many people in my field over the years, including professors, employers, and co-workers. In addition, I have been involved with several organizations that provide networking opportunities, such as the ___________ Association (a professional association) and the ______________ Club (a community service organization).
As you can see from my resume, I have various interests outside of work. These interests have provided me with valuable experience in interacting with people from different backgrounds and cultures and allowed me to develop my communication skills.
I look forward to discussing this position further with you.
How to Write an Letter of Application?
When applying for a job, it is essential to write a good application letter. The letter should be short and to the point. It should include your contact details and the position you are applying for.
A well-written letter of application is professional and shows that you have read the job advertisement carefully. It can make a positive impression on the employer and help you get an interview.
The following are some tips for writing a good letter of application.
Start with a greeting
The first sentence should include a greeting such as “Dear Sir or Madam” or “To Whom It May Concern,” followed by your full name, address, and telephone number (cell phone number). If you are writing by email, include this information in the signature line at the bottom of the email message.
Introduce yourself in three sentences or less
Write a paragraph introducing yourself and describing why you are suitable for this position. This paragraph should be at most two pages but no shorter than three sentences!
Show Off in the Middle
In your letter of application, you want to make sure you leave an impression on the reader immediately. You can highlight why you are the best candidate for the job. Be sure to include specific examples of how your skills, experience, and qualifications align with what they are looking for in a candidate. The middle portion of your application letter should show off your talents and qualifications in a way that leaves no doubt in the employer’s mind as to why you are their ideal candidate.
Close Your Letter of Application With a CTA
If you want an employer to call you back for an interview, end your letter with a clear call-to-action (CTA). The CTA lets them know that you want them to contact you so that they can tell you more about the job and what it entails. This makes it easy for them to reach out to schedule an interview if they are interested in hiring you based on what they’ve read in your letter of application.
Conclusion
The letter of application is a complex form to fill out since you have to be both personally yourself and overly formal at the same time. It’s a fine balance to strike, but we’ve given some helpful tips to make it easier to do just that. Best of luck!
FAQs
What is a letter of application?
A letter of application, also known as a cover letter, is a formal letter that introduces you as a job applicant to a potential employer. It highlights your fit for the role you’re applying for and acts as a supplement to your resume.
What is the format structure of an application letter?
The standard format for an application letter is:
- Header with your contact information and the date
- Address section with the company’s hiring manager name and address
- Salutation addressing the reader (e.g. Dear Mr./Ms. [Name])
- 1-2 paragraph introduction summarizing your skills and interest
- 1-2 body paragraphs highlighting your qualifications and achievements
- 1 closing paragraph expressing appreciation and follow up details
- Complimentary close (Sincerely,)
- Handwritten signature
- Your typed name
How do you write a catchy application letter?
Here are some tips for writing a catchy application letter:
- Grab attention with an impressive opening sentence about your passion or fit for the role.
- Use active language, industry keywords, and quantifiable facts/figures.
- Showcase your personality and enthusiasm while remaining professional.
- Focus on how you can solve their problems or add value to the company.
- Emphasize your most relevant qualifications and accomplishments.
- Close with a memorable statement reinforcing your interest and fit.
What is the best template for a cover letter?
The best cover letter templates include:
- A clear header with your contact information.
- A formal business letter format with neat, professional formatting.
- Customized paragraphs highlighting your qualifications.
- Industry and company research to tailor content.
- Specific examples and metrics demonstrating achievements.
- A polite, enthusiastic tone with no spelling/grammar errors.
- A strong opening and closing bookending the letter.
- Easy-to-read sections separated by spaces or headings as needed.
How do I write an application letter?
Here are some tips for writing an effective application letter:
- Address the letter to the hiring manager if known, otherwise “Dear Hiring Manager”. Use a formal tone.
- Open with a strong statement on why you’re an excellent fit for the role. Mention where you saw it advertised.
- Use the body paragraphs to expand on your qualifications, skills, achievements that match the job ad. Add numbers/facts.
- Close by reiterating your interest in the role, company and how you’d contribute if hired.
- Proofread carefully and use a formal business letter format. Customize for each application.
What do you say in a letter when applying for a job?
Your letter should say:
- Why you’re interested in the role and company
- How your background and qualifications make you the ideal candidate
- Examples of your relevant skills, knowledge, accomplishments and achievements
- What value you can add in this position backed by evidence
- Your enthusiasm and fit for the company culture and mission
- Details on how you’ll follow up and your contact information





















































![Free Printable Friendly Letter Templates [PDF, Word, Excel] 1st, 2nd, 4th Grade 1 Friendly Letter](https://www.typecalendar.com/wp-content/uploads/2023/05/Friendly-Letter-150x150.jpg 150w, https://www.typecalendar.com/wp-content/uploads/2023/05/Friendly-Letter-1200x1200.jpg 1200w)
![%100 Free Hoodie Templates [Printable] +PDF 2 Hoodie Template](https://www.typecalendar.com/wp-content/uploads/2023/05/Hoodie-Template-1-150x150.jpg)
![43+ Printable Leave of Absence Letter (LOA) Templates [PDF, Word] / Free 3 Leave of Absence Letter](https://www.typecalendar.com/wp-content/uploads/2023/01/Leave-of-Absence-Letter-150x150.jpg 150w, https://www.typecalendar.com/wp-content/uploads/2023/01/Leave-of-Absence-Letter-1200x1200.jpg 1200w)
